Springe auf Hauptinhalt Springe auf Hauptmenü Springe auf SiteSearch
Berippte Wärmeübertrager

Näherungsgleichung zur k-Zahl-Berechnung

Kompakt informieren

  • Mit einer Näherungsgleichung kann der Wärmedurchgangskoeffizient von berippten Wasser/Luft-Wärmeübertragern im Gegenstrom bei veränderten Betriebsbedingungen ohne die genaue Kenntnis der Wärmeübertrager-Geometrie mit geringem Aufwand ermittelt werden.
  • Dazu sollten beide Medienströme in beiden Betriebszuständen turbulent sein.
  • Ein besonderer Vorteil der Näherungsgleichung ist, dass die Geschwindigkeiten der Medien nicht bekannt sein müssen, da in die Gleichung nur die relative Änderung der Geschwindigkeiten einfließt.

Berippte Wärmeübertrager werden als Erhitzer, Kühler oder als Wärmeübertrager in Kreislaufverbundsystemen zur Wärmerückgewinnung eingesetzt. Hierbei dienen auf der Luftseite berippte Rohre zur Wärmeübertragung, die im Kreuzstrom – also quer zur Luftrichtung – angeordnet sind. Allerdings werden die einzelnen Rohre nacheinander im Gegenstrom zur Luft durchströmt, sodass bereits ab wenigen Durchgängen der Kreuz-Gegenstrom thermodynamisch dem reinen Gegenstrom sehr nahe kommt. Aus diesem Grund können ab einigen Rohrreihen (> 4) praktisch die physikalischen Gegenstrombeziehungen verwendet werden 1) .

Für den für eine Anwendung erforderlichen, auf den Luftstrom bezogenen thermodynamischen Temperaturänderungsgrad wird eine dimensionslose Kenngröße NTU (Number of Transfer Units) benötigt, die den Wärmeübertrager in seiner Charakteristik beschreibt. Aus dieser dimensionslosen Kennzahl NTU ergibt sich dann mit Bezug auf den Gegen-strom der thermodynamische Temperaturänderungsgrad 2) (Wirkungsgrad) des Wärmeübertragers Abb. 2.

Dieser Temperaturänderungsgrad wird durch eine Exponentialgleichung wie folgt beschrieben:

 für   1

und

 für  = 1

i  Wärmekapazitätenstromverhältnis der beiden Medien, beispielsweise 1  = W 1 / W 2

NTU i  Number of Transfer Units, bezogen auf die einzelnen Ströme i

F  Korrekturfaktor zum reinen Gegenstrom

Die Abweichung des Kreuz-Gegenstroms zum thermodynamisch reinen Gegenstrom wird dabei mit dem Korrekturfaktor F beschrieben, der ab vier Durchgängen, also ab vier Rohrreihen n Abb. 3, wie folgt berechnet wird:

Sind beide Wärmekapazitätenströme gleich groß, also und damit  = 1, wie dies beispielsweise bei einer Wärmerückgewinnung bei ausgeglichenen Massenströmen der Fall ist, vereinfacht sich die Gegenstrombeziehung zu:

Die dimensionslose Kennzahl NTU errechnet sich dabei aus der Beziehung:

k  Wärmedurchgangskoeffizient in W/(m 2  K)

A  Wärmeübertragende Fläche in m 2

 Wärmekapazitätsstrom in W/K des betreffenden Mediums
 Massenstrom des Mediums in kg/s

c p  spezifische Wärmekapazität in kJ/(kg K)

Die dimensionslose Kennzahl NTU beschreibt also das Produkt aus der Güte der Wärmeübertragung, dem Wärmedurchgangskoeffizienten k und der wärmeübertragenden Fläche A bezogen auf den Wärmekapazi-tätenstrom des betrachteten Mediums. Der Wärmedurchgangskoeffizient k ist der reziproke Wert des Wärmewiderstandes R, der sich errechnet mit:
 Wärmeübergangskoeffizient innen (z. B. Wasser) in W/(m 2  K)

d  Dicke des wärmeleitenden Materials (z. B. des Rohres) in m

 Wärmeleitkoeffizient in W/(m K)
 Wärmeübergangskoeffizient außen (z. B. Luft) in W/(m 2  K)

Da beispielsweise bei einem Wasser/Luft-Wärmeübertrager der Wärmeübergangskoeffizient auf der Wasserseite in einer Größenordnung von ca. 2000 bis 5000 W/(m 2  K) liegt und gleichzeitig die Wärmeleitung im Rohr oder der Lamelle im Vergleich zu den Medienseiten vernachlässigbar klein ist, wird schnell deutlich, dass der Wärmeübergangskoeffizient auf der Luftseite meist der limitierende Faktor der Wärmeübertragung ist. Üblicherweise liegen Wärmeübergangskoeffizienten auf der Luftseite je nach Rohranordnung und Lamellengeometrie bei ca. 20 bis 40 W/(m 2  K) und damit um rund zwei Zehnerpotenzen niedriger als auf der Wasserseite.

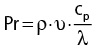
Die Wärmeübertragung durch eine erzwungene Strömung ergibt sich aus folgender Beziehung:

 Wärmestrom in W/s

Nu  dimensionsloser Wärmeübergangskoeffizient, Nusseltzahl Nu = f (Pr, Re)

 Wärmeleitkoeffizient des strömenden Mediums in W/(m K)

l  charakteristische Länge der Lamelle in m

 Temperatur des Mediums (M) abzüglich der Wand-Temperatur (W) (z. B. Lamelle)

Wärmeübertragung auf der Luftseite

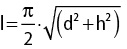
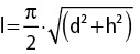
Die dimensionslose Nusseltzahl Nu errechnet sich an der berippten Oberfläche (Lamelle) eines Wärmeübertragers mit versetzter Rohranordnung Abb. 4 ab vier Rohrreihen auf der Luftseite 3) Abb. 3 aus:

für turbulente Strömung mit 10 3  5 und 5 0 

Pr  Prandtl-Zahl (stoffabhängige Größe des Mediums, z. B. Luft)

 Luftdichte in kg/m³
 kinematische Viskosität in m 2 /s

c p  spezifische Wärmekapazität in kJ/(kg K)

 Wärmeleitfähigkeit in W/m/K

Re  Reynold-Zahl (strömungsabhängige Größe)

w  Strömungsgeschwindigkeit im engsten Querschnitt in m/s

l  charakteristische Länge der Lamelle in m

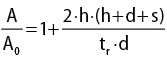
A/A 0  Oberflächenverhältnis äußere Fläche A zur Rohrfläche A 0

h  charakteristische Lamellenhöhe

s 1  Achsabstand der Rohre in Luftrichtung in m

s 2  Achsabstand der Rohre quer zur Luftrichtung in m

d  Rohrdurchmesser in m

s  Materialdicke der Lamelle in m

t r  Lamellenteilung in m

Wärmeübertragung im Rohr

Die dimensionslose Nusseltzahl Nu errechnet sich hier innerhalb der Rohre 4) (Medienseite) aus:

für turbulente Strömung mit 2300 5 und 0,6 

 Widerstandsbeiwert des Rohres

d i  Innendurchmesser des Rohres in m

l  Rohrlänge in m

Aus der dimensionslosen Nusseltzahl Nu ergibt sich der Wärmeübergangskoeffizient mit:

Näherungsgleichung

Das zuvor beschriebene Verfahren ist relativ komplex und aufwendig. Insbesondere bei veränderten Bedingungen, also bei veränderlichen Luft- oder Medienmengen, müssen für sämtliche Zustände die Wärmedurchgangskoeffizienten berechnet werden. Häufig wird in der Praxis vereinfacht mit einer konstanten k-Zahl gerechnet, was jedoch zu erheblichen Fehlern führt.

Aus diesem Grunde bietet sich ein Näherungsverfahren an, mit dem der Wärmedurchgangskoeffizient k leicht auf unterschiedliche Betriebsbedingungen umgerechnet werden kann. Dazu wird die ursprüngliche k-Zahl, die sich aus der Auslegung oder Messung ergibt, aufgrund der sich ändernden Luft- und Mediengeschwindigkeiten mit folgender Gleichung nach Kaup korrigiert:

k korr  umzurechnende k-Zahl in W/(m 2  K)

k org  ursprüngliche k-Zahl gemessen oder berechnet in W/(m 2  K)

w L,korr  Luftgeschwindigkeit im umzurechnenden Betriebszustand in m/s

w L,org  ursprüngliche Luftgeschwindigkeit in m/s

w M,korr  Mediengeschwindigkeit im umzurechnenden Betriebszustand in m/s

w M,org  ursprüngliche Mediengeschwindigkeit im Rohr in m/s

Aufgrund umfangreicher Vergleichsberechnungen und Vergleichsmessungen kann die Gleichung im Bereich von 1,6 L,korr / w L,org ) M,korr / w M,org ) 5) zur Umrechnung von Temperaturänderungsgraden von Wärmerückgewinnungssystemen ab.

Vergleichsrechnung

Im Vergleich zu den Berechnungsalgorithmen im VDI-Wärmeatlas wird die Näherungsgleichung im Folgenden überprüft. Dazu wurde ein Kreislaufverbundsystem als gekoppelter Wärmeübertrager im Wirkungsgradoptimum ausgelegt. Im Zwischenkreis wurde der Wärmeübergang mit einer Sole (25 % Ethylenglykol, 75 % Wasser) berechnet. Es wurden folgende Geometrien berücksichtigt:

  • s1 = 37,5 mm und s2 = 45 mm
  • tr = 2,5 mm mit s = 0,25 mm
  • d = 12 mm mit n > 4

Abb. 5 stellt die Ergebnisse der detaillierten Berechnung nach VDI-Wärmeatlas im Vergleich zu den Ergebnissen der Näherungsgleichung dar. Man erkennt, dass die Abweichung im Vergleich zur Umrechnung nach VDI-Wärmeatlas sehr gering ist und unter 1 % liegt. Unter Berücksichtigung einer konstanten Mediengeschwindigkeit im Rohr ergibt sich der Vergleich aus Abb. 6. Unter Berücksichtigung einer konstanten Luftgeschwindigkeit ergibt sich der Vergleich aus Abb. 7.

Abb. 6 und Abb. 7 zeigen, dass die Mediengeschwindigkeit innerhalb des Rohres einen größeren Fehler verursacht als die Änderungen auf der Luftseite des Wärmeübertragers. Insbesondere bei sehr geringen Mediengeschwindigkeiten hin zur laminaren Strömung vergrößert sich der Fehler maßgeblich. Dies ist vor allem aus der letzten Zeile in Abb. 7 ersichtlich. Bei laminarer Strömung im Rohr (Re 

Fazit

Die Tabellenwerte in der Spalte k VDI zeigen, dass für eine Berechnung des Wirkungsgrads berippter Wasser/Luft-Wärmeübertrager schon bei leicht veränderten Betriebsbedingungen eine Neuberechnung des Wärmedurchgangskoeffizienten k erforderlich ist.

Mit der dargestellten Näherungsgleichung kann der Wärmedurchgangskoeffizient k von berippten Wasser/Luft-Wärmeübertragern mit geringem Aufwand und genügender Genauigkeit auf veränderte Betriebsbedingungen umgerechnet werden. Die Abweichungen liegen innerhalb der Gültigkeitsgrenzen im Bereich von etwa ± 3 % und damit auf einem erstaunlich geringen Niveau.

Der große Vorteil des beschriebenen Verfahrens besteht darin, dass die absoluten Geschwindigkeiten der Medien nicht zwingend bekannt sein müssen, um die Änderung der k-Zahl berechnen zu können. Es ist ausreichend, die relative Änderung der Geschwindigkeiten in die Näherungsgleichung einzusetzen. Somit kann ohne die detaillierte Kenntnis der Geometrien des Wärmeübertragers die Änderung der k-Zahl mit hoher Genauigkeit abgeschätzt werden. Es sollte aber darauf geachtet werden, dass die beiden Medienströme turbulent sind, da sonst eine höhere Abweichung zu dem tatsächlichen Wärmedurchgangskoeffizienten entstehen kann.

Prof. Dr.-Ing. Christoph Kaup

ist Honorarprofessor an der Hochschule Trier, Umweltcampus Birkenfeld für Energieeffizienz und Wärmerückgewinnung; Geschäftsführender Gesellschafter der Howatherm Klimatechnik GmbH, 55767 Brücken, http://www.howatherm.de; Mitglied in verschiedenen Normungsgremien, beispielsweise EN 13 779, EN 13 053, EN 16 798 und EN 1886 sowie Richtlinienausschüssen, beispielsweise VDI 6022 und VDI 3803.