Springe auf Hauptinhalt Springe auf Hauptmenü Springe auf SiteSearch
VDI 2078

Kühllast — Aspekte zum Abschätzverfahren

Kompakt informieren

  • Die überarbeitete und erweiterte Richtlinie VDI 2078 zur Berechnung der Kühllast/Wärmelast, der Raumlufttemperatur und der operativen Raumtemperatur für Räume aller Art mit und ohne Klimatisierung berücksichtigt alle Parameter, die das thermische Raumverhalten beeinflussen. Das Berechnungsverfahren kann nur mit einem entsprechenden PC-Programm angewendet werden.
  • Das in VDI 2078 Anhang D beschriebene Verfahren kann auch ohne spezielle Software ange-wendet werden und eignet sich insbesondere bei (noch) fehlenden Daten, um zunächst Orientierungswerte für die Kühllast/Wärmelast zu berechnen. Bei thermisch schweren Gebäuden können die Abweichungen erheblich sein.

Die Kühllastberechnung nach der neuen Richtlinie VDI 2078 [2] basiert auf einer mit der Anlagentechnik gekoppelten Gebäudesimulation und auf dem Rechenverfahren der VDI 6007 mit ihren Blättern 1 bis 3 [3 bis 5]. Sie ermöglicht eine vollständige Beschreibung des wärmetechnischen Verhaltens von Gebäuden unter Berücksichtigung der installierten Anlagentechnik. Mit dem neuen Rechenverfahren kann neben der Kühllast auch die sich einstellende Raumlufttemperatur bzw. die operative Raumtemperatur berechnet werden. Insgesamt hat das neue Verfahren die folgenden Leistungsmerkmale:

  • Berechnung der Kühllast, aufgeteilt in den Konvektions- und Strahlungsanteil
  • Berechnung der Raumlufttemperatur und der operativen (empfundenen) Raumtemperatur
  • Gekoppelte Berechnung aktiver Anlagenkomponenten, wie thermoaktive Bauteilsysteme (TABS), Flächenheizung und -kühlung
  • instationäre Berechnung des Wärmedurchgangs von nicht adiabaten Innenbauteilen unter Berücksichtigung des konkreten Wand-aufbaus sowie des Strahlungsaustausches mit den übrigen Bauteilen des Raumes
  • instationäre Berechnung des Wärmedurchgangs von Außenbauteilen unter Berücksichtigung des konkreten Wandaufbaus sowie des Strahlungsaustausches mit der Umgebung
  • Berücksichtigung von mechanischer und natürlicher (freier) Lüftung
  • Berücksichtigung einer begrenzten oder nicht verfügbaren Kühlleistung der Anlagentechnik
  • Berücksichtigung von Betriebsweise und Regelkonzept der Anlagentechnik
  • Berücksichtigung eines zulässigen Schwankungsbereiches für die Raumtemperatur

Die dahinter stehenden komplexen Berechnungen des wärmetechnischen Verhaltens von Gebäuden können mit einem analytischen Handrechenverfahren nicht abgebildet werden, sondern benötigen ein PC-Programm.

Im frühen Planungsstadium sind jedoch häufig noch nicht alle erforderlichen Daten für eine entsprechend detaillierte Kühllastberechnung vorhanden. Allerdings werden in diesem Stadium schon Aussagen zur ungefähren Kühllast benötigt. Hierzu enthält VDI 2078 ein Abschätzverfahren, das sich an das Verfahren in DIN V 18 599-2 [6] anlehnt. Dieses Abschätzverfahren wird auch in der Ausbildung benötigt, um den Einfluss einzelner Parameter auf die Kühllast zu verdeutlichen.

Die Anlehnung an [6] ist sinnvoll und zweckmäßig, da bei der Berechnung der Norm-Heizlast nach DIN EN 12 831 [7, 8] das Beiblatt 2 [10] dieser Norm ein vereinfachtes Verfahren zur näherungsweisen Ermittlung der Gebäude-Heizlast (und der Wärmeerzeugerleistung) unter Bezugnahme zur EnEV und zu DIN V 18 599-5 [9] dokumentiert.

Bemerkungen zum Abschätzverfahren

Beim Abschätzverfahren wird die überschlägige Kühllast mithilfe einer empirisch ermittelten Gleichung aus der Summe der Wärmequellen und -senken am Auslegungstag berechnet. Hierbei werden

  • die wirksame Wärmespeicherfähigkeit der Gebäudezone,
  • die Betriebszeit der Anlage und
  • der zulässige Schwankungsbereich der Innentemperatur

berücksichtigt.

Die Wärmequellen und Wärmesenken werden dabei über die Betriebszeit der RLT-Anlage gemittelt. Lastprofile können dadurch nicht berücksichtigt werden. Bei den Wärmequellen wird auch nicht berücksichtigt, zu welchen Anteilen die sensible Wärmeabgabe per Konvektion und per Strahlung erfolgt.

Weiterhin können thermisch aktive Raumflächen, die Regelstrategie der Anlagentechnik sowie variable Sonnenschutzvorrichtungen (Sonnenschutz schließt nur, wenn ein Grenzwert für die solare Einstrahlung überschritten wird) nicht berücksichtigt werden.

Anhang C der VDI 2078 enthält zwei Beispiele für die Kühllastabschätzung für die Standorte Mannheim (MA) und Hamburg (HH) für eine wenig schwingende Raumlufttemperatur  = 3 K (Variante 1) und eine stark schwingende Raumlufttemperatur  = 5 K (Variante 2). Der Vergleich der Ergebnisse zwischen der überschlägig ermittelten Kühllast und der nach dem EDV-Verfahren (mit der Anlagentechnik gekoppelte Gebäudesimulation) berechneten Kühllast zeigt den Vorteil des EDV-Verfahrens.

Beim Vergleich der Ergebnisse zwischen den Varianten 1 und 2 wird deutlich, dass das Abschätzverfahren insbesondere durch die Nichtberücksichtigung der Regelstrategie der Anlagentechnik und die nur vereinfachte Berücksichtigung der Wärmespeicherfähigkeit/Wärmemenge der Gebäudezone nicht in der Lage ist, Effekte, wie sie beispielsweise durch eine Änderung der zulässigen Raumlufttemperaturschwankung entstehen, richtig wiederzugeben.

Die Streubreite beim Vergleich der überschlägig ermittelten Kühllast der Gebäudezone mit den Ergebnissen der Gebäudesimulation zeigt Abb. 1. Die Unterschiede zwischen den nach diesen beiden Verfahren berechneten Kühllasten können sehr groß sein und verdeutlichen, dass eine Kühllastabschätzung nur Orientierungswerte liefern kann. Bei thermisch schweren Gebäuden können die Abweichungen gravierend sein Abb. 2.

Abschätzverfahren

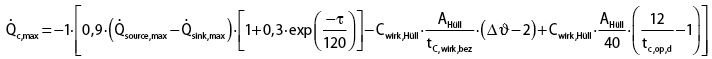
Die Kühllast wird in VDI 2078 als negativer Wert angegeben, da es sich hierbei um einen Wärmestrom handelt, der aus dem Raum abgeführt werden muss. Die Grundgleichung zur Berechnung der überschlägigen Kühllast lehnt sich an die in DIN V 18 599-2 [6] an. Sie setzt sich aus vier Termen zusammen (Gl. 1)
Term 1:
Term 2:
Term 3:
Term 4:

 

Summe der Wärmequellen am Auslegungstag innerhalb der betrachteten Gebäudezone gemäß Gleichung 2
Summe der internen Wärmesenken am Auslegungstag innerhalb der betrachteten Gebäudezone gemäß Gleichung 3
Zeitkonstante der Gebäudezone gemäß Gleichung 4

t c,opt,d tägliche Betriebsdauer der Kühlanlage

zugelassene Schwankung der Innentemperatur; Es gilt: 3 K    6 K; wenn  > 6 K, ist  = 6 zu setzen; für  

C wirk,Hüll die auf die Hüllfläche A Hüll bezogene wirksame Wärmespeicherfähigkeit der Gebäudezone; nach der mittleren Dichte der Hüllfläche gemäß Gleichung 5 klassifiziert. Die Klassifizierung erfolgt gemäß der Klassifizierung der Raumtypen anhand der mittleren Dichte der Hüllfläche Abb. 3.

A Hüll Hüllfläche; diese ist gleich der Raumumschließungsfläche, wobei nicht vorhandene Trennwände als virtuelle Flächen zu berücksichtigen sind

t C,wirk,bez Bezugszeit (Zuordnung von Orten bzw. Gebieten in die Kühllastzone sind in [2] tabellarisch gegeben bzw. aus der Kühllastzonenkarte in [2] zu entnehmen); für die Kühllastzone 1, 2 und 3 ist t C,wirk,bez  = 60 h, für die Kühllastzone 4 ist t C,wirk,bez  = 85 h

Wärmequellen und Wärmesenken haben ein positives Vorzeichen. Wände zu Kellern und anders temperierten Nebenräumen werden wie Außenwände behandelt.

Term 1

Der Faktor 0,9 ergibt sich aus umfangreichen Simulationsrechnungen. Im Gegensatz zu XXX, wo der Faktor mit 0,8 ausgewiesen wird (ergibt sich hier aus einer Energiebedarfsrechnung), stellt die überschlägig ermittelte maximale Kühllast einen „Worst-Case“-Fall dar. Der Klammerausdruck (–) beinhaltet die solaren Wärmeeinträge, die Transmissionsgewinne und -senken, die Lüftungswärmequellen (ohne mechanische Lüftung) sowie die internen Wärmequellen und -senken. Insgesamt lassen sich die Wärmequellen und -senken wie folgt zusammenfassen:
Gl. 2
Gl. 3
solarer Wärmeeintrag
Transmissionswärmequellen bzw. -senken
Lüftungswärmequellen bzw. -senken
interne Wärmesenken
interne Wärmequellen

Die Ermittlung des solaren Wärmeeintrages für opake und transparente Bauteile basiert auf bekannten Zusammenhängen, wobei bei opaken Bauteilen die Abstrahlung zwischen Bauteil und Himmel und bei transparenten Bauteilen ein Gesamtenergiedurchlassgrad g tot sowie die maximale stündliche solare Einstrahlung I S,max am Auslegungstag berücksichtigt werden.

Transmissionswärmequellen bzw. -senken werden in bekannter Weise entsprechend der Heizlastermittlung nach außen und gegen Nebenräume berechnet. Bei der Berechnung der Lüftungswärmequellen und -senken ohne mechanische Lüftung werden die Tagesmittel der Außenlufttemperatur der Klimazone am Auslegungstag a,mittel,CDD verwendet Abb. 4. Die internen Wärmequellen und -senken werden als mittlere Wärmeströme während der Betriebszeit der RLT-Anlage berücksichtigt.

Term 2

Term 2 berücksichtigt als dynamische Komponente die Wärmespeicherfähigkeit der Gebäudezone. Die wesentliche Größe ist dabei die Zeitkonstante , die in Abhängigkeit der wirksamen Wärmespeicherfähigkeit, der Transmissionswärmeverluste und der Lüftungswärmeverluste infolge Infiltration nach Gleichung 4 berechnet wird:

 

 

Gl. 4

U i Wärmeübergangskoeffizient des Bauteils i mit i = AW (Außenwand), i = DA (Dach) und i = tr (transparentes Bauteil)

A i Fläche des Bauteils i mit i = op,AW (opake Fläche der Außenwand), i = op,DA (opake Fläche des Dachs) und i = tr (transparente Bauteilfläche)

H V,inf der Wärmetransferkoeffizient für Infiltration, ohne mechanische Lüftung gemäß Gleichung 6

Die auf die Hüllfläche bezogene mittlere Dichte wird nach Gleichung 5 berechnet:
Gl. 5

 

A BT Fläche des Bauteils (inklusive virtueller Bauteile – virtueller Raumbegrenzungsflächen z. B. im Großraum)

d BT Dicke des Bauteils

Dichte der j-ten Schicht im Bauteil i

d Schicht,j Dicke der j-ten Schicht im Bauteil i

Bei der Berechnung der auf die Hüllfläche bezogenen mittleren Dichte nach Gleichung 5 ist Folgendes zu beachten:

  • bei an das Erdreich grenzenden Bauteilen ist das Erdreich nicht einzubeziehen; das Erdreich wird auch nicht bei der Ermittlung der Dicke des Bauteils dBT berücksichtigt
  • bei im Raum liegenden Bauteilen sind beide Flächen jeweils mit der gesamten Bauteildicke zu berücksichtigen
  • Im Summanden werden nur Schichten berücksichtigt, für die gilt: dSchicht
     > 0,01 m und  > 200 kg/m3
  • Virtuelle Flächen sind bei der Ermittlung der Hüllfläche AHüll zu berücksichtigen.

Der Wärmetransferkoeffizient für Infiltration H V,inf wird entsprechend DIN V 18 599-2 mit Gleichung 6 berechnet:

Gl. 6
der im Tagesmittel aus der benachbarten Zone eintretende Volumenstrom

V Z Luftvolumen der Zone

n (Außen-)Luftwechsel (LW); Standardwert für den stündlichen Luftwechsel infolge Infiltration: n = 0,1 h –1 .

Produkt aus der spezifischen Wärmekapazität und der Dichte der Luft; Entsprechend DIN V 18 599-2 gilt:  = 0,34 Wh/(m 3  K)

Term 3

Term 3 der Richtlinie berücksichtigt, dass sich die Wärmelast dadurch reduziert, dass anstelle eines konstanten Sollwerts für die Raumtemperatur ein Schwankungsbereich für die Raumsolltemperatur zugelassen wird.

Diese Reduktion hängt neben dem zulässigen Schwankungsbereich für die Raumsolltemperatur von der wirksamen Wärmespeicherfähigkeit der Gebäudezone ab (siehe auch Term 2) und dem Außenklima ab. Letzteres wird durch eine in Abhängigkeit der Klimazone gewählte Bezugszeit berücksichtigt.

Die Bezugszeit in Verbindung mit der wirksamen Wärmespeicherfähigkeit ist ein Maß für das dynamische Verhalten der Gebäudezone.

Term 4

Die Betriebsdauer der Kühlanlage beeinflusst ebenfalls die Kühllast, wobei dieser Einfluss mit zunehmender wirksamer Wärmespeicherfähigkeit zunimmt. Nach [11] sollte die Betriebsdauer der Raumkühlanlage in der Regel 3 h länger als die Nutzungszeit der Gebäudezone gewählt werden.

Die Analyse der einzelnen Wärmeströme ist sehr ausführlich in [2] dargestellt und mit zahlreichen Tabellen untersetzt, beispielsweise mit Standardwerten für Absorptionsgrade, maximale solare Strahlungswerte am Auslegungstag, Standardwerte für den Energiedurchlasswert für verschiedene Verglasungen und Sonnenschutzsysteme, Beleuchtungskennwerte und Kennwerte für die Wärmeabgabe technischer Einrichtungen.

Bewertung

Das Abschätzungsverfahren ist sehr gut zur Abschätzung der Kühllast in frühen Planungsphasen und auch für die energetische Bewertung im Bestand geeignet. Das Verfahren entbindet jedoch die Anwender aufgrund der beschränkten Genauigkeit nicht davon, zum gegebenen Zeitpunkt oder Anlass eine Kühllastberechnung mit einem PC-Programm auf der Grundlage von [2] vorzunehmen.

Literatur

 [1] VDI 2078 (Entwurf) Berechnung von Kühllast und Raumtemperaturen von Räumen und Gebäuden (VDI-Kühllastregeln). Berlin: Beuth Verlag, März 2012

 [2] VDI 2078 Berechnung von Kühllast und Raumtemperaturen von Räumen und Gebäuden (VDI-Kühllastregeln). Berlin: Beuth Verlag, Juni 2015

 [3] VDI 6007 Blatt 1 Berechnung des instationären thermischen Verhaltens von Räumen und Gebäuden – Raummodell. Berlin: Beuth Verlag, März 2012

 [4] VDI 6007 Blatt 2 Berechnung des instationären thermischen Verhaltens von Räumen und Gebäuden – Fenster-Modell. Berlin: Beuth Verlag, März 2012

 [5] VDI 6007 Blatt 3 Berechnung des instationären thermischen Verhaltens von Räumen und Gebäuden – Modell der solaren Einstrahlung. Berlin: Beuth Verlag, April 2012

 [6] DIN V 18 599-2 Energetische Bewertung von Gebäuden – Berechnung des Nutz-, End- und Primärenergiebedarfs für Heizung, Kühlung, Lüftung, Trinkwarm-Wasser und Beleuchtung; Teil 2: Nutzenergiebedarf für Heizen und Kühlen von Gebäudezonen. Berlin: Beuth Verlag, Dezember 2011

 [7] DIN EN 12 831 Heizungsanlagen in Gebäuden – Verfahren zur Berechnung der Norm-Heizlast. Berlin: Beuth Verlag, August 2003

 [8] DIN EN 12 831 Beiblatt 1 Heizungsanlagen in Gebäuden – Verfahren zur Berechnung der Norm-Heizlast – Nationaler Anhang NA, Beiblatt 1. Berlin: Beuth Verlag, Juli 2008

 [9] DIN V 18 599-5 Energetische Bewertung von Gebäuden – Berechnung des Nutz-, End,- und Primärenergiebedarfs für Heizung, Kühlung, Lüftung, Trinkwarm-Wasser und Beleuchtung; Teil 5: Energiebedarf von Heizungssystemen. Berlin: Beuth Verlag, Dezember 2011

[10] DIN EN 12831 Beiblatt 2 Heizungsanlagen in Gebäuden – Verfahren zur Berechnung der Norm-Heizlast; Beiblatt 2: Vereinfachtes Verfahren zur Ermittlung der Gebäude-Heizlast und der Wärmeerzeugerleistung – Nationaler Anhang NA, Beiblatt 2. Berlin: Beuth Verlag, Mai 2012

[11] David, R. et al.: Heizen, Kühlen, Belüften & Beleuchten – Bilanzierungsgrundlagen zur DIN V 18 599. Stuttgart: Fraunhofer IRB Verlag 2006

Prof. Dr.-Ing. (em) Achim Trogisch

Hochschule für Technik und Wirtschaft Dresden (FH), Fakultät Maschinenbau / Verfahrenstechnik, Lehrgebiet TGA. Telefon (03 51) 4 62 27 89, trogisch@mw.htw-dresden.de , www.htw-dresden.de





Solar-Computer: Visualisierung von inneren Last-Daten im Tagesverlauf.
Solar-Computer

Kühllast und Raumtemperatur

-



Das Programm „Kühllast und Raumtemperatur nach VDI 2078 / 6007“ von Solar-Computer basiert auf dem Weißdruck der VDI-Richtlinie 2078 (Ausgabe 2015-06) sowie den zugrunde liegenden Simulations-Algorithmen in VDI 6007-1 (Raummodell), VDI 6007-2 (Fenstermodell) sowie VDI 6007-3 (solare Strahlung)...

Abb. 1 Im November 2011 hat die Bünting Unternehmensgruppe in Borken eine neue Filiale des Elektro- und Elektronikfachmarktes Telepoint eröffnet. Auf rund 1900 m² Verkaufsfläche erhalten Kunden ein umfassendes Sortiment an Unterhaltungs- und Haushaltselektronik.
Energieoptimierung mit VRV-System

Mit der Kühllast wird geheizt

-


Der Elektro- und Elektronikfachmarkt Telepoint in Borken wird mit einem 3-Leiter-VRV-System klimatisiert. So kann mit der Abwärme der TV-Geräte ein Heizbedarf, beispielsweise im Eingangsbereich, gedeckt werden. Das System punktet auch bei der Nach­haltigkeitsbewertung des Gebäudes.

Kühllast-Simulation eines Raumes (links). Behaglichkeit transparent gemacht (rechts): Die prozentuale Anzahl der unzufriedenen Personen (PPD-Wert) steigt, sobald die Temperatur das grüne Toleranzband überschreitet.
C.A.T.S. Kühllastberechnung

Weit über VDI 2078 hinaus

-


C.A.T.S. Software hat seine dynamische Kühllastberechnung überarbeitet. Die neue Version bietet viele neue und komfortable Eingabe- und Ausgabemöglichkeiten. Besonders ­attraktiv für TGA-Planungsbüros ist auch die Kopplung mit Heizlastberechnung und ­energetischer Bewertung nach DIN V 18599. Doppelte Datenerfassung entfällt damit.