Springe auf Hauptinhalt Springe auf Hauptmenü Springe auf SiteSearch
Kommentar zur Volumenstromauslegung

DIN 1946-6 überarbeitet: Eine Norm, die das Planen erschwert

Bild 1 Eine hygienisch auffällig hohe CO2 -Konzentration in Wohnungen trotz Lüftungsanlage? Volumenströme nach neuer DIN 1946-6 berechnet verhindern es nicht.

Getty Images / Izabela Habur

Bild 1 Eine hygienisch auffällig hohe CO2 -Konzentration in Wohnungen trotz Lüftungsanlage? Volumenströme nach neuer DIN 1946-6 berechnet verhindern es nicht.

Eine kritische Auseinandersetzung mit der Volumenstromermittlung gemäß DIN 1946-6:2009-05 hat erhebliche Defizite, Ungereimtheiten und nicht sinnvolle Beschränkungen aufgezeigt, insbesondere weil in der Norm das Berechnungsverfahren der ventilatorgestützten Lüftung nur für Abluftanlagen konzipiert ist. Eine Auslegung der Volumenströme nach dieser Fassung führt im juristischen Sinn ohne Weiteres nicht zu einer funktionstauglichen Anlage.

Inzwischen wurde DIN 1946-6 vom verantwortlichen Arbeitskreis im DIN-Normenausschuss Heiz- und Raumlufttechnik sowie deren Sicherheit (NHRS) überarbeitet, im Dezember 2017 der Fachwelt ein Entwurf mit Ausgabedatum Januar 2018 vorgelegt und fortgeschrieben, der Weißdruck soll demnächst erscheinen. Er zwingt Anwender, auch aufgrund des neuen Vertragsrechts, weiterhin zu einer kritischen Auseinandersetzung mit der Volumenstromermittlung.

Wohnungsweise Berechnung vs. Berechnung nach Personenzahl

Mit der Tabelle 7 bzw. Gleichung (8) der neuen DIN 1946-6neu [1] werden nach wie vor die Außenluftvolumenströme verschiedener Lüftungsstufen für die gesamte Nutzungseinheit in Abhängigkeit der beheizten Fläche angegeben. Neu ist, dass für die Lüftungsstufe „Lüftung zum Feuchteschutz“ zwischen geringer und hoher Belegung unterschieden wird.

Das ist verwunderlich, da bei der Lüftungsstufe „Nennlüftung“ diese Unterscheidung nicht getroffen wird. Bei der Lüftung zum Feuchteschutz gehen neben der menschlichen Feuchteabgabe noch andere Feuchtelasten ein (Pflanzen, Körperpflege und Kochen, siehe [1, Abschn. 4.2.2]). Diese sind zum Teil unabhängig von der Personenzahl. Deshalb müsste gerade bei der Nennlüftung, welche die Hauptaufgabe hat, hygienische Anforderungen als Folge anthropogener Emissionen zu erfüllen, die Belegung (bzw. Personenzahl) auch eine Rolle spielen.

 

Bild 2  Planmäßig zulässige Personenzahl in der Nutzungseinheitnach zwei unterschiedlichen Varianten in DIN 1946-6neu. Für geringe Belegung bei der Lüftung zum Feuchteschutz: ≥ 40 m2/Pers. Belegungsfläche; für Nennlüftung: 30 m3/(h ∙ Pers.) Personenluftrate

Nadler

Bild 2  Planmäßig zulässige Personenzahl in der Nutzungseinheit
nach zwei unterschiedlichen Varianten in DIN 1946-6neu. Für geringe Belegung bei der Lüftung zum Feuchteschutz: 
≥ 40 m2/Pers. Belegungsfläche; für Nennlüftung: 30 m3/(h ∙ Pers.) Personenluftrate

 

Körperpflege und Kochen finden in Ablufträumen statt. Durch Tabelle 7 bzw. Gleichung (8) in DIN 1946-6neu werden jedoch die Volumenströme zur Abfuhr dieser Feuchtelasten auf die gesamte Nutzungseinheit über die Lüftung zum Feuchteschutz verteilt. Bei ventilatorgestützten Lüftungsanlagen wird die Feuchtefreisetzung sofort in die Abluftleitung geführt, wodurch sie für die Zulufträume keine Feuchtelast darstellt. Das heißt, die Lüftungsstufe „Lüftung zum Feuchteschutz“, welche auch die Feuchtelastabfuhr der Ablufträume beinhaltet, dürfte sich für solche Anlagen nicht nach der beheizten Fläche der Nutzungseinheit richten. Für Ablufträume ist die Tabelle 16 der Norm [1] zuständig.

Der Unterschied zwischen Gleichung (8) und Tabelle 7 in DIN 1946-6neu liegt aufgrund der Aufrundung bei maximal 3 m3/h bzw. bei maximal 18 %. Noch größere Unterschiede ergeben sich im Vergleich mit der bisher gültigen DIN 1946-6 [2]. Im Bereich 30 bis 210 m2 Fläche der Nutzungseinheit sind die Volumenströme für die Nennlüftung nach DIN 1946-6neu um 10 bis 53 m3/h bzw. um 18 % bis 24 % geringer. Man fragt sich, welche Genauigkeit der Bedarfsermittlung zugrunde liegt.

Nach VDI 6022 [3] hat die Wahl der richtigen Außenluftvolumenströme unter Berücksichtigung der Personenbelegung zu erfolgen. Auch DIN EN 15 251 [4] gibt Empfehlungen für den Außenluftvolumenstrom in Abhängigkeit der Personenzahl an. Zur Abschätzung der Personenzahl wird auf die Anzahl der Schlafzimmer verwiesen. Das gleiche gilt für die ÖNORM H 6038 [5], die Personenluftraten für die Unterschreitung der CO2-Konzentration von 1000 ppm in Abhängigkeit der Raumart benennt.

Die planmäßige Personenzahl wird auch in DIN 1946-6neu an verschiedenen Stellen zur Berechnung der Volumenströme benötigt. In der Fußnote e zur Tabelle 7 in [1] wird angegeben, dass sich die planmäßig zulässige Personenzahl aus den Volumenströmen für die Nennlüftung dividiert durch 30 m3/(h  Pers.) ergibt. In Fußnote d und in Fußnote c der Tabelle 4 in DIN 1946-6neu errechnet sich dagegen eine geringe Belegung aus einer Nutzungsfläche von  40 m2/Person. Dadurch ergeben sich Unterschiede, die in Tabelle Bild2 zusammengestellt sind.

Planen erschwert

Eine Übereinstimmung der durch Abrundung berechneten Personenzahl beider Verfahren ist erst bei einer Fläche von 210 m2 vorhanden. Bei intensiv genutzten Nutzungseinheiten kann gemäß Fußnote e zu Tabelle 7 in DIN 1946-6neu durch 20 m3/(h  Pers.) dividiert werden, um die planmäßig zulässige Personenzahl zu bestimmen. Ungeachtet dieser Variante beträgt der Unterschied eine Person und mehr bei der gleichen Wohnungsfläche. Hier liegt eine Unschärfe vor, die es dem Planer nicht leicht macht und Zweifel an den zugrunde liegenden Randbedingungen der Tabelle 7 in DIN 1946-6neu aufkommen lässt.

Der Zweifel wird auch dadurch verstärkt, dass sich bei gleichen Randbedingungen (mittlere Feuchtefreisetzung, Wärmeschutz, Raumtemperaturen) nach Abschnitt 4.2.2 im Entwurf zur neuen DIN 1946-6 und im Weißdruck [1] die Volumenströme für die Lüftung zum Feuchteschutz unterscheiden.

 

Bild 3  Hygienische Bewertung der CO2-Konzentration in der Innenraumluftmithilfe von Leitwerten (bezogen auf die aktuell vorliegende Konzentration – Momentanwert). Die Empfehlungen mit kurzfristig durchzuführenden Maßnahmen bauen aufeinander auf.

Nadler

Bild 3  Hygienische Bewertung der CO2-Konzentration in der Innenraumluft
mithilfe von Leitwerten (bezogen auf die aktuell vorliegende Konzentration – Momentanwert). 
Die Empfehlungen mit kurzfristig durchzuführenden Maßnahmen bauen aufeinander auf.

 

Maximale Personenzahl mit dem Bauherrn vereinbaren

Nach dem heute gültigen Bauvertragsrecht ist jedoch zu empfehlen, dass man anhand einer Bedarfsanalyse eine maximale Personenzahl mit dem Bauherrn vereinbart. Ein solcher Hinweis, allerdings nur für Neubauten, findet sich auch in der Fußnote c der Tabelle 4 der DIN 1946-6neu, ihre Tabelle 7 bzw. Gleichung (8) werden dann nicht mehr benötigt.

Lüftungsmaßnahme für längere ununterbrochene Aufenthaltsdauer auslegen

Ein Aufenthaltsraum ist nach VDI 6022-1 ein Raum mit einer Aufenthaltsdauer derselben Person von regelmäßig länger als zwei Stunden je Tag. Man kann jedoch (als Auftraggeber) erwarten, dass die lüftungstechnische Maßnahme für eine gesundheitlich zuträgliche Raumluft auch für eine längere ununterbrochene Aufenthaltsdauer ausgelegt wird. Da die Personenzahl in den einzelnen Räumen zur Überprüfung des Mindestvolumenstroms ebenfalls bekannt sein muss, basieren die nachstehenden Berechnungsbeispiele auf der Zugrundelegung der Personenzahl mit zusammenhängenden Belegungszeiten im Raum.

Aufbau der Berechnungsbeispiele

Im Folgenden werden einige Beispielrechnungen nach DIN 1946-6neu vorgestellt. Die Tabellen sind so aufgebaut, dass die Lüftungsstufen für die freie als auch für die ventilatorgestützte Lüftung über den Faktor fLSt,Ausl beliebig gewählt werden können. Die freie Lüftung wird als Querlüftung mit der Lüftungsstufe „Lüftung zum Feuchteschutz“ ausgelegt. Rote Werte sind Eingabewerte. Gelb hinterlegt kennzeichnen die Zulufträume, Weiß die Überströmräume und Blau die Ablufträume. Es erfolgt eine raumweise Berechnung der Luftwechselzahl, der CO2-Konzentration, der sich einstellenden relativen Raumluftfeuchte und der Oberflächenfeuchte jeweils für die freie und ventilatorgestützte Lüftung.

Wichtige Einflussgrößen für die CO2-Konzentration und die Feuchte sind die Personenzahl und die Belegungszeit im Raum bzw. in der Nutzungseinheit (NE). Dabei wird vom günstigsten Fall ausgegangen, dass der Raum bzw. die Nutzungseinheit vor der Benutzung vollständig mit Außenluft durchspült wird und wieder auf die Auslegungstemperatur aufgeheizt ist. Die Anfangskonzentration von CO2 und Feuchte entspricht deshalb der Außenluftkonzentration.

 

Bild 4 Beispiel 1, Zimmer im Studentenwohnheim in Potsdam.

Nadler

Bild 4 Beispiel 1, Zimmer im Studentenwohnheim in Potsdam.

 

Ergebnisse gelten für Erwachsene in Ruhe

Da das Alter der Kinder nicht bekannt ist, gelten alle Ergebnisse für Erwachsene in Ruhe, wie auch in DIN EN 15 251. Für die Überströmräume müsste eine gesonderte Berechnung erfolgen, da sich hier ein Mischluftzustand aus den angrenzenden Räumen einstellt, d. h., die Doppel- bzw. Mehrfachnutzung der Lüftung, z. B. bei Abluftanlagen, ist in den Beispielen nicht berücksichtigt. Das würde in diesen Räumen zu höheren Konzentrationen führen, da nicht mit Außenluft, sondern mit schon belasteter Luft gelüftet wird. Die Angaben in den Ablufträumen gelten deshalb nur für eine Einzelraumbelüftung.

Für Belegungszeiten nur Mindestwerte angesetzt

Für die Belegungszeiten der Räume werden nur Mindestwerte angesetzt, die einen ununterbrochenen Aufenthalt der Personen erwarten lassen. Sehr kurze zu erwartende Zeiten, z. B. in Sanitärräumen oder Fluren, werden zu 0 h/d gesetzt und nur für den Nachweis der Volumenstromauslegung nach DIN 1946-6neu aufgeführt. Für längere Belegungszeiten würden sich höhere Konzentrationen einstellen, sofern der stationäre Zustand noch nicht erreicht ist. Ausgangspunkt dieser Betrachtung sind die Schlafräume, Kinderzimmer und Gästeräume, die mindestens 8 h mit der Tätigkeit Schlafen belegt sind. Daraus resultieren begrenzte Belegungszeiten für die anderen Räume.

Feuchteproduktion im Raum abschätzen

Eine grobe Abschätzung der Feuchteproduktion im Raum erhält man, wenn man für Personen 50 g/(h  Pers.) und für Wäschetrocknen ca. 50 g/h annimmt. In den Tabellen der Berechnungsbeispiele wurden noch andere Feuchtelasten eingerechnet, die sich aus DIN SPEC 4108-8 [6] ergeben, jedoch im Vergleich zu Personen und Wäschetrocknen untergeordnet sind. Nur für das Zimmer im Studentenwohnheim wurde freies Wäschetrocknen angenommen.

DIN 1946-6neu geht von stationären Zuständen aus, es wird also keine Zwischenspeicherung der Feuchte in den Bauteilen des Raumes und in seiner Ausstattung berücksichtigt. Der Faktor für die Feuchtespeicherung ist deshalb in den Tabellen Bild  4 bis Bild  6 zunächst auf 0 gesetzt. Eine solche Annahme kann allerdings nur näherungsweise in voll verfliesten Bädern und WC-Räumen sowie in Küchen mit beschichteten Einbauschränken zugrunde gelegt werden.

Die Güte des Wärmeschutzes wird für die Vermeidung der Schimmelpilzbildung durch den geringsten fRsi-Wert im Raum beschrieben. In der Regel tritt der geringste Wert an den Wärmebrücken auf und muss nach DIN 4108-2 [7] mindestens 0,70 betragen. Die Oberflächenfeuchte wird deshalb für diesen fRsi-Wert berechnet. Höhere fRsi-Werte benötigen geringere Außenluftvolumenströme [8].

Der Außenklimazustand wird mit –5 °C und 80% relativer Luftfeuchte festgelegt. Nach DIN 4108-2 ist dies die Standard-Randbedingung für stationäre feuchtetechnische Untersuchungen. Im TRY02 (Rostock) tritt diese Kombination im 5-Tagesmittel fünfmal im Jahr auf.

 

Bild 5 Beispiel 2, Beispiel aus DIN 1946-6 Beiblatt 1:2012-09, MFH S. 11

Nadler

Bild 5 Beispiel 2, Beispiel aus DIN 1946-6 Beiblatt 1:2012-09, MFH S. 11

 

Hygiene: Nur Geruchsstoffe aus menschlichen Ausdünstungen berücksichtigt

Die Raumluftqualität wird durch verschiedene charakteristische Größen beurteilt (siehe [1, Abschn. 7.4 und 8.5.1]). Der Begriff Hygiene umfasst eigentlich auch die Abwesenheit von Schimmelpilzen. In diesem Beitrag wird die Hygiene nur mit Geruchsstoffen in Verbindung gebracht, die sich aus menschlichen Ausdünstungen ergeben.

Obwohl im Anwendungsbereich von DIN 1946-6neu steht, dass die Planungsempfehlungen nur für schadstoffarme Gebäude gelten, schließt sie im Abschnitt 4.1 eine Berücksichtigung der Schadstoffe aus dem Gebäude und Einrichtungen, wie es beispielsweise DIN EN 15 251 für schadstoffarme Gebäude vorsieht, aus. Das bedeutet, dass sich die Planungsempfehlungen nur an den Schadstoffeinträgen der normalen menschlichen Aktivitäten in der Nutzungseinheit orientieren.

CO2-Gehalt als Maßstab

Nach Max von Pettenkofer ist der CO2-Gehalt ein Indikator für anthropogene Emissionen und wird hier als Maßstab für die Raumluftqualität verwendet. Das Umweltbundesamt (UBA) gibt in [9] für die Bewertung der Hygiene die Hilfestellung in Tabelle Bild  3 an.

DIN 1946-6 legt 30 m3/(h  Pers.) zugrunde, was einem CO2-Gehalt von ca. 1000 ppm entspricht. Da die Auslegung nach dieser Norm für die gesamte Nutzungseinheit im stationären Zustand erfolgt, wird für den CO2-Gehalt der Nutzungseinheit eine 24-stündige Belegungszeit angenommen.

Beispiel 1 Bild  4: Zimmer im Studentenwohnheim

Im Beispiel 1 Bild  4 mit nur einem Zuluftraum ist die Bewertung bei der ventilatorgestützten Lüftung und der Lüftungsstufe „Nennlüftung“ (fLSt,Ausl = 1,0) mit 942 ppm nach Bild  3 hygienisch unbedenklich. Die Auslegung solcher Nutzungseinheiten nach DIN 1946-6neu für die ventilatorgestützte Lüftung ist deshalb hinsichtlich Hygiene unproblematisch.

 

Bild 6  Beispiel 3, Beispiel aus DIN 1946-6 Beiblatt 1:2012-09, EFH S. 10.

Nadler

Bild 6  Beispiel 3, Beispiel aus DIN 1946-6 Beiblatt 1:2012-09, EFH S. 10.

 

Beispiel 2 Bild  5: 3-Zimmerwohnung

Bei der 3-Zimmerwohnung im Beispiel 2 Bild  5 kann man davon ausgehen, dass diese mit 3 Personen (2 Erwachsene und 1 Kind) bewohnt wird. Die Auslegung der ventilatorgestützten Lüftungsstufe „Nennlüftung“ ergibt 76 m3/h. Für die 3 Personen müsste hier jedoch 3  30 m3/h = 90 m3/h erscheinen. Das Resultat dieser geringeren Dimensionierung nach [1, Gleichung (8)] ist, dass sich eine CO2-Konzentration von 1214 statt 1000 ppm für die gesamte Nutzungseinheit einstellt. Im Schlafzimmer musste ein Zuschlag von 7 m3/h erfolgen, damit der Mindestwert von 15 m3/(h  Pers.) (siehe DIN 1946-6neu Tabelle 17) erreicht wird. Nach DIN EN 15 251 wird dieser Mindestwert allerdings auch für Wohnzimmer empfohlen (siehe [4, Tabelle B.5]). Die CO2-Konzentrationen in den Zulufträumen sind hygienisch auffällig (bis zu 1852 ppm) und nach der UBA-Empfehlung muss der Außenluftvolumenstrom erhöht werden.

Einzelne Zulufträume liegen erheblich über Richtwert

Im Beispiel 3 Bild  6 zeigt sich, dass die CO2-Konzentration für die gesamte Nutzungseinheit bei 5 Personen und ventilatorgestützter Lüftung mit der Lüftungsstufe „Nennlüftung“ mit 955 ppm hygienisch unbedenklich ist. Die einzelnen Zulufträume liegen aber mit bis zu 2610 ppm erheblich über dem Richtwert vom UBA bzw. über dem der Nutzungseinheit.

Diese Überschreitungen haben ihre Ursache in der Verteilung des gesamten Volumenstroms der Nutzungseinheit für lüftungstechnische Maßnahmen auf die einzelnen Räume. Der Verteilungsmechanismus in DIN 1946-6neu entspricht nicht den realistischen Nutzungsbedingungen der Räume. Das könnte dazu führen, dass einzelne Fenster geöffnet werden, wodurch sich die Druckverhältnisse in der Nutzungseinheit ändern und eine bestimmungsgemäße Durchströmung der Räume nicht mehr gegeben ist. Wenn sich dadurch in anderen belegten Räumen geringere Volumenströme einstellen, könnte das zu einem weiteren Fensteröffnen führen. Die hohen CO2-Konzentrationen bei der freien Lüftung lassen auch eine vermehrte manuelle Fensterlüftung erwarten. Der nutzerunabhängige Betrieb ist dann infrage zu stellen.

 

Bild 7  Pendellüftungsbetrieb für Beispiel 2

Nadler

Bild 7  Pendellüftungsbetrieb für Beispiel 2
Bild 8  Pendellüftung im Vergleich mit Einzellüftung für Beispiel 2

Nadler

Bild 8  Pendellüftung im Vergleich mit Einzellüftung für Beispiel 2

 

Abluftvolumenströme zuordnen

Im Beispiel 3 ist außerdem erkennbar, dass die Zuordnung der Abluftvolumenströme nicht nach [1, Gleichung (31)] erfolgen sollte. Die Zulufträume Kind 1 OG, Kind 2 OG und Arbeit OG liefern zusammen 38 m3/h Abluftvolumenstrom. Den Ablufträumen im OG (Bad OG und WC OG) werden aber nur 33 m3/h zugeordnet. Die Frage stellt sich, wie die Differenz von 5 m3/h in das EG gelangt. Besser wäre es, auf Gleichung (31) in DIN 1946-6neu zu verzichten und die Abluftvolumenströme aus den Zulufträumen per Augenmaß gemäß wahrscheinlichster Strömungsrichtung den Ablufträumen zuzuordnen (siehe auch [8]).

Hygiene bei Pendellüftung

Dezentrale Geräte, die eine wechselseitige Durchströmung zweier Räume bewirken, werden als Pendellüftungsgeräte oder alternierende Lüftungsgeräte (auch Push-Pull-Prinzip) bezeichnet. Für das Beispiel 2 wird in Bild  7 die sich einstellende CO2-Konzentration in Abhängigkeit der Zeit dargestellt, die sich aus einem Wechseltakt von 70 s ergibt.

Die Geräte müssen paarweise betrieben werden. Für den Volumenstrom wird angenommen, dass der Betriebspunkt auf der für Reihenschaltung addierten Ventilatorkennlinie bei 38 m3/h liegt, was mehr als dem Maximalwert der Zuluftvolumenströme in Bild  5 entspricht.
Es werden zwei Fälle unterschieden:

a) Der paarweise Betrieb erfolgt zwischen Wohnzimmer und Kinderzimmer. Beide Zimmer sind gleichzeitig belegt.

b) Der paarweise Betrieb erfolgt zwischen Wohnzimmer und Schlafzimmer. Nur das Wohnzimmer ist belegt.

In der Praxis müssten beide Fälle gleichzeitig vorhanden sein, weshalb das Wohnzimmer mit zwei Geräten ausgestattet wird, die jeweils mit Kinder- oder Schlafzimmer in Verbindung stehen. Hier wird jedoch der unabhängige Betrieb zwischen a) und b) betrachtet, um die Auswirkung der Gleichzeitigkeit der Belegung zu untersuchen.

 

Bild 9  Auslegung der Zulufträumefür die drei Beispiele und für ca. 1000 ppm CO2-Konzentration

Nadler

Bild 9  Auslegung der Zulufträume
für die drei Beispiele und für ca. 1000 ppm CO2-Konzentration

 

Mischluftzustand bei Pendellüftung

Aus dem EwWalt-Forschungsprojekt [10] ist bekannt, dass sich bei der Pendellüftung ein Mischluftzustand zwischen den beiden wechselseitig belüfteten Räumen und dem Flur dazwischen einstellt. Der Autor vermutet, dass der Flur als Überströmraum die Durchmischung bewirkt. Das heißt, ohne Flur oder bei sehr geringem Flurvolumen könnte sich ein Zustand einstellen, der mit einer Kolbenströmung vergleichbar ist. In Bild  7 ist darum der zeitliche Verlauf der CO2-Konzentration für beide Strömungsformen dargestellt. Für die Mischlüftung wurden beide Räume als ein Raum mit dem Volumen beider Räume zuzüglich Flurvolumen zusammengefasst. Durch das größere Luftvolumen werden die Kurven gegenüber dem Mittelwert aus der Kolbenlüftung etwas abgesenkt.

Obwohl das Schlafzimmer nicht belegt ist, wird durch den wechselseitigen Betrieb verbrauchte Luft hineinbefördert. Wenn das Schlafzimmer von den Personen belegt wird, muss es vorher durch manuelle Fensterlüftung durchspült werden. Ansonsten wäre die Anfangskonzentration wesentlich höher, als die Außenluftkonzentration.

Pendellüftung auslegen

Der sogenannte Doppelnutzen ist hier nicht in voller Höhe wirksam, da in der Hälfte der Zeit, in denen die Räume als Zulufträume fungieren, diese nicht mit Außenluft beaufschlagt werden. Die Auslegung für Pendellüftung gestaltet sich schwierig, da beide Räume unterschiedliche Belegungszeiten haben können. Darum erfolgte in Bild  8 die Auslegung aller Lüftungssysteme für 1000 ppm im stationären Zustand. Die Summe der Einzellüftungen, wobei Wohnen, Kind und Schlafen reine Zulufträume sind, beträgt 180 m3/h. Der gleiche Wert ergibt sich auch für die beiden Mischlüftungssysteme. Für kürzere Belegungszeiten kann man aber bei den beiden Mischlüftungssystemen einen leichten Vorteil in der CO2-Konzentration ablesen.

Eine Auslegung, die ein größeres Raumluftvolumen bei kürzeren Belegungszeiten und gemischter Nutzung berücksichtigt, wie bei der heute verbreiteten Grundrisskonstellation Wohnen-Essen-Küche-Flur im Raumluftverbund, und die Besonderheiten der Pendellüftungssysteme mit beachtlichem Marktanteil wird in DIN 1946-6neu nicht behandelt. Dagegen zeigt das Tool MindLW [11], wie man eine solche Auslegung vornehmen kann.

 

Bild 10   Ergebnisse der drei Beispiele für die Zulufträumebei Feuchtespeicherung nur in Raumluft und in Raumluft und Bauteilen

Nadler

Bild 10   Ergebnisse der drei Beispiele für die Zulufträume
bei Feuchtespeicherung nur in Raumluft und in Raumluft und Bauteilen

 

Resümee für die Hygiene

Zusätzliche manuelle Fensterlüftung nötig

Trotz Lüftungsanlage nach neuester Norm DIN 1946-6 [1] wird eine zusätzliche manuelle Fensterlüftung auch unter normalen Schadstoffbelastungen notwendig sein. Das haben schon frühere Untersuchungen durch Befragungen ergeben [12]. Wenn ein erheblicher Anteil der Lüftung über manuelles Fensteröffnen erfolgen muss, um den Mindestluftwechsel nach EnEV einzuhalten, dürfte auch für ventilatorgestützte Anlagen nach DIN 1946-6 [1 und 2] bei der EnEV(GEG)-Bilanzierung nur die freie Lüftung ohne Bonus angesetzt werden.

Die Konsequenz ist, dass man entweder raumweise die Lüftung nach Personenzahl und Belegungszeit auslegt und / oder den Luftvolumenstrom auf das Notwendigste beschränkt. Dazu zählt die Lüftung zum Feuchteschutz zuzüglich Volumenstrom für freies Wäschetrocknen.

Personenzahl und Belegungszeit realistisch zuordnen

Tabelle Bild  9 zeigt eine Auslegung, bei der die CO2-Konzentration in jedem Raum ca. 1000 ppm beträgt. Die erforderlichen Volumenströme sind dabei zum Teil höher, als bei Auslegung nach Intensivlüftung (fLSt,Ausl = 1,3). Der Raum Essen EG im Beispiel 3 hat einen ca. 5-fachen Luftwechsel, was viel zu hoch ist. Dieser Raum steht im Raumluftverbund mit Wohnen EG, Küche EG und Flur EG. Naheliegende Räume, die nicht durch eine Innentür getrennt sind, müsste man zu einem Raum zusammenfassen und Personenzahl und Belegungszeit realistisch zuordnen. Dadurch könnte der maximal erforderliche Luftwechsel in diesem Raumluftverbund deutlich reduziert werden. Mit den fR,Zu-Faktoren nach DIN 1946-6 geht das jedoch nicht.

Beispiel 3 Bild 9: Arbeitszimmer Arbeit OG

Aufgrund der kurzen Belegungszeit, der geringen Personenzahl und dem großen Raumvolumen für das Arbeitszimmer Arbeit OG im Beispiel 3 wäre eine lüftungstechnische Maßnahme nicht notwendig. Das Programm errechnet daher einen negativen Volumenstrom, um die Infiltration wieder herauszurechnen. DIN 1946-6neu verlangt jedoch einen Volumenstrom von 10 m3/h (vgl. Bild  6).

Feuchte: Im Raum für Gesundheit ausschlaggebend

Trockene Raumluft fördert u.a. Haut-, Augen- und Halsreizungen.

Antonioguillem - stock.adobe.com

Trockene Raumluft fördert u.a. Haut-, Augen- und Halsreizungen.

Die relative Raumluftfeuchte sollte 30…40 % nicht unterschreiten und die Oberflächenfeuchte 80 % zur Vermeidung von Schimmelpilzbildung nicht übersteigen. Trockene Raumluft fördert Haut-, Augen- und Halsreizungen [13], erhöht das Infektionsrisiko der Atmungsorgane, bewirkt statische Aufladungen und mehr Staubaufwirbelungen [14, 15, 16, 17, 18]. Aus gesundheitlicher Sicht kommt der Feuchte im Raum ein höherer Stellenwert als der CO2-Konzentration zu. Das muss bei der Auslegung der Volumenströme und bei der Regelung berücksichtigt werden.

DIN 1946-6neu: Hygiene vor Gesundheitsschutz

In DIN 1946-6neu wird im Abschnitt 8.4 auf eine zu trockene Raumluft eingegangen. Darin heißt es, dass eine Reduzierung des Volumenstroms auf reduzierte Lüftung bei Unterschreiten von 30 % relative Raumluftfeuchte vorgenommen werden kann. Im Abschnitt zuvor sollte bei zu trockener Raumluft auf Nennlüftung geschaltet werden. Bei dieser Kann/Sollte-Regelung steht der Erhalt einer gewissen Hygiene (Gerüche) über dem Gesundheitsschutz.

Was gilt für die ventilatorgestützte Lüftungsanlage?

Im gleichen Abschnitt wird für den Betrieb der ventilatorgestützten Lüftungsanlage verlangt, dass sie nicht unter die Lüftungsstufe „Lüftung zum Feuchteschutz“ fahren darf. Dies gilt auch bei mehrtägiger Abwesenheit, obwohl man für diese Situation ein Lüftungskonzept bei reduzierten Feuchtelasten erstellen könnte [19].

Reale Raumnutzung führt zu Schwankung des Feuchteverlaufs

Die einzelnen Räume werden nicht dauerhaft durch Feuchteeinträge belastet. Wird der Raum von den Personen verlassen, sinkt die relative Raumluftfeuchte und die Desorption setzt ein. Die reale Benutzung eines Raumes führt zu einer Schwankung des Feuchteverlaufs und die Absorption und Desorption zu einer Dämpfung. Das haben schon zahlreiche Veröffentlichungen durch Darstellung des Zeitverlaufes der relativen Raumluftfeuchte bei konstanter Temperatur gezeigt.

Notwendiger Außenluftvolumenstrom verringert sich bei nicht genutztem Raum

In Zeiten der Nichtbenutzung des Raumes verringert sich der notwendige Außenluftvolumenstrom, da damit auch ein Absinken der Raumluftfeuchte verbunden ist. Ein Raumluftfeuchtefühler könnte das Absinken feststellen und die Regeleinrichtung würde den Volumenstrom schon vor Erreichen der 30-%-Grenze reduzieren bzw. auf 0 m3/h herunterfahren. Eventuell wird dann diese Grenze gar nicht erst erreicht. Bei der freien Lüftung, beispielsweise über mechanische Fensteröffnungen oder selbsttätig regelnde ALD, wird auch nicht verlangt, dass sie immer etwas geöffnet sein müssen.

Hier wird manuelles Fensteröffnen notwendig

Wenn der Raum dagegen nicht verlassen wird, die Feuchtelast also bestehen bleibt, so könnte die CO2-Konzentration über die Ergebnisse in den Tabellen Bild  4 bis Bild  6 weiter ansteigen und die manuelle Fensteröffnung wird immer wahrscheinlicher bzw. notwendiger.

Wenn der Raum dagegen nicht verlassen wird, die Feuchtelast also bestehen bleibt, so könnte die CO2-Konzentration über die Ergebnisse in den Tabellen Bild  4 bis Bild  6 weiter ansteigen und die manuelle Fensteröffnung wird immer wahrscheinlicher bzw. notwendiger.

Bonsales - stock.adobe.com

Wenn der Raum dagegen nicht verlassen wird, die Feuchtelast also bestehen bleibt, so könnte die CO2-Konzentration über die Ergebnisse in den Tabellen Bild  4 bis Bild  6 weiter ansteigen und die manuelle Fensteröffnung wird immer wahrscheinlicher bzw. notwendiger.

Die stationäre Annahme in DIN 1946-6neu – dass die Feuchtespeicherung nicht berücksichtigt werden muss – führt zu relativen Luftfeuchten in den drei Beispielen von bis zu 100 %. In einigen Fällen ist die Luft bei der ventilatorgestützten Lüftung allerdings zu trocken. Eine Feuchtespeicherfähigkeit ist mindestens in der Raumluft selbst vorhanden. Nach Kohonen et. al. [20] kann man für die Feuchtespeicherung in normal verputzten Bauteilen die 10-fache Größe des Raumluftvolumens ansetzen. In der Tabelle Bild  10 sind deshalb die Ergebnisse für beide Fälle der Feuchtespeicherfähigkeit angegeben.

Zu hohe Feuchtewerte sind bei Berücksichtigung der Feuchtespeicherung in Raumluft und Bauteilen nicht zu erwarten. Dafür sind aber in einigen Räumen zu niedrige Werte vorhanden. Das zeigt, dass bei der Auslegung raumweise zwischen CO2-Konzentration und relativer Feuchte optimiert werden muss.

Beispiel 2 Bild 11 + 12: Raum Wohnen

Für das Beispiel 2 Raum Wohnen ist in Bild  11 und Bild  12 der Verlauf der relativen Raumluftfeuchte bei konstanter Innentemperatur und Außenklimabedingung für verschiedene Feuchtespeichereffekte (rote und blaue Linie) und im eingeschwungenen Zustand eines Tages dargestellt. Der Raum wird nur von 19 bis 23 Uhr genutzt. In diesem Zeitraum geht die Lüftung auf Auslegungsvolumenstrom nach Bild  5.

 

Bild 12 Ventilatorgestützte Lüftung geregelt auf kritischen Feuchtegehalt für Beispiel 2 Raum Wohnen

Nadler

Bild 12 Ventilatorgestützte Lüftung geregelt auf kritischen Feuchtegehalt für Beispiel 2 Raum Wohnen
Bild 11 Ventilatorgestützte Lüftung geregelt auf Lüftung zum Feuchteschutz für Beispiel 2 Raum Wohnen.

Nadler

Bild 11 Ventilatorgestützte Lüftung geregelt auf Lüftung zum Feuchteschutz für Beispiel 2 Raum Wohnen.
Bild 13  Randbedingungen für Bild 11 und Bild 12.

Nadler

Bild 13  Randbedingungen für Bild 11 und Bild 12.

 

Relative Raumluftfeuchte: Zu feucht oder zu trocken?

In Zeiten der Nichtbenutzung liegt nur eine Feuchtelast von 12 g/h vor und die Lüftung wird geregelt bzw. begrenzt (siehe Tabelle Bild  13). Die braun gestrichelte Linie stellt die kritische relative Raumluftfeuchte dar, die gemäß Schimmelpilzkriterium nach [6] max. 12 h/d am Tag überschritten werden darf. Die grün gestrichelte Linie für eine relative Luftfeuchte von 35 % sollte nicht unterschritten werden, um die Austrocknung der Schleimhäute zu vermeiden. Zwischen diesen beiden gestrichelten Linien sollte sich die relative Raumluftfeuchte befinden, damit die Lüftung beide gesundheitlichen Aspekte berücksichtigt.

Bei geringer Feuchtelust Lüftung drosseln

Es zeigt sich, dass es sehr nachteilig für die relative Raumluftfeuchte ist, wenn bei geringen Feuchtelasten, z. B. durch Abwesenheit von Personen, die Lüftung weiter auf einem Niveau läuft, welches für Volllast (hier Lüftung zum Feuchteschutz) vorgesehen ist. In Bild  11 ist die Raumluft ganztägig zu trocken. In Bild  12 liegt dagegen die relative Raumluftfeuchte ganztägig über 30 %. Für den Fall „Sorption in Bauteilen und Raumluft“ beträgt die relative Raumluftfeuchte nahezu konstant 35 %.

Resümee für die Feuchte

Relative Raumluftfeuchte kann zu gering sein

Die Berechnungen zeigen, dass mit zunehmender Feuchtespeicherfähigkeit der Bauteile im Raum und bei kurzen Belegungszeiten die relative Raumluftfeuchte zu gering sein kann. Das liegt daran, dass die Feuchteproduktion nicht nur von der Raumluft absorbiert wird, sondern auch von den Bauteilen. Da das auch für die Lüftung zum Feuchteschutz zutrifft (siehe Ergebnisse für die freie Lüftung), müsste ein geregeltes Herunterfahren bis zum automatischen Abschalten der Lüftungsanlage zulässig sein.

Volumenstrom raumweise nach der Feuchte regeln

Das setzt voraus, dass die Regelung des Volumenstroms raumweise nach der Feuchte erfolgt. Bei Anlagen, die per Überströmung aus anderen Räumen nur in eine Richtung lüften, ist durch den Mischvorgang keine sichere Erfassung der relativen Raumluftfeuchte aus den einzelnen angeschlossenen Räumen möglich. Beispielsweise könnte bei Abluftanlagen ein Raum zu trocken sein, andere aber eine normale Feuchte aufweisen. Der Feuchtefühler im Abluftkanal im Bad kann aus dem Mischluftzustand nicht die notwendige Information entnehmen. Das ist der Grund, warum Abluftanlagen und Zu-/Abluftanlagen mit Überströmung nicht unter die Lüftung zum Feuchteschutz fahren dürfen. Eine zu trockene Luft in den Räumen ist damit vorprogrammiert.

Dezentrale Geräte im Vorteil

Außerdem hat die unnötige, dauerhafte Lüftung energetische Nachteile. Hier haben dezentrale Geräte mit Volumenstromregelung einen klaren Vorteil. Werden diese Geräte als Pendellüftung betrieben, so detektieren sie zwar auch nur einen Mischluftzustand, können diesen aber so direkt beeinflussen, als wäre es ein großer Raum. Diese Geräte würden auch automatisch durchlaufen, wenn eine Feuchtelast dauerhaft vorhanden ist. Für DIN 1946-6neu bedeutet dies, dass für Geräte mit raumweiser Feuchteregelung eine Ausnahme geregelt werden müsste, was jedoch vom Normenausschuss abgelehnt wurde.

Resümee für Hygiene und Feuchte

Aus den vorstehenden Ergebnissen und Erläuterungen ist zu entnehmen, dass bei der Auslegung der Volumenströme ein Kompromiss zwischen Hygiene und der sich einstellenden relativen Raumluftfeuchte zu finden ist.

Dabei sind zwei Auslegungsvarianten denkbar:

a) Der Volumenstrom wird nur für die Lüftung zum Feuchteschutz ausgelegt. Eine zuträgliche Hygiene muss der Nutzer durch manuelles Fensterlüften selber herstellen.

b) Der Volumenstrom wird raumweise für eine CO2-Konzentration von ca. 1000 ppm ausgelegt. Es muss rechnerisch kontrolliert werden, ob die relative Raumluftfeuchte größer 30…40 % ist. Wenn nicht, sind weitere technische Maßnahmen vorzusehen.

 

Extrem hohe Raumluftfeuchte ist im Tropenhaus eines Zoos natürlich kein Problem ...

matthias dittmann - stock.adobe.com

Extrem hohe Raumluftfeuchte ist im Tropenhaus eines Zoos natürlich kein Problem ...
… im Wohnzimmer jedoch schon.

yavdat - stock.adobe.com

… im Wohnzimmer jedoch schon.

 

DIN 1946-6neu: Problematik zu trockener Luft mäßig ausgeführt

Die ÖNORM H 6038 legt für den Fall b) aus und gibt ein Kriterium zur Vermeidung von zu trockener Raumluft an. Als zulässige Gegenmaßnahmen gelten der Einsatz der Feuchterückgewinnung (Enthalpie-Wärmeübertrager), der Bedarfssteuerung (CO2 oder VOC) und einer Zonen- bzw. Einzelraumsteuerung. DIN 1946-6neu führt dagegen die Problematik der zu trockenen Luft nur mäßig aus und empfiehlt im Abschnitt 8.4 nur Sollte/Könnte-Maßnahmen zur Regelung, die zudem unklar beschrieben sind.

Infiltration

Das Lüftungskonzept zur Feststellung der Notwendigkeit lüftungstechnischer Maßnahmen (LtM) nach DIN 1946-6neu vergleicht die Lüftung zum Feuchteschutz mit der Infiltration. Andere Gründe für eine LtM mit ventilatorgestütztem Lüftungssystem, wie Außenlärm, Filterung, Wärmerückgewinnung, Schlagregen und Einbruchschutz, werden als belegbare Planungsentscheidung nicht behandelt (Beispiel: ODA-Werte).

Infiltration in Planungsphase abschätzen

Die Infiltration wird mit dem n50-Wert berechnet, der in der Planungsphase zu schätzen ist. Während für die Heizlast eine hohe Infiltration berechnet werden muss, um ausreichend Heizleistung zur Verfügung zu stellen, müsste für die Wohnungslüftung ein niedriger Wert herangezogen werden, um die lüftungstechnischen Komponenten angemessen zu dimensionieren.

Keine belastbare Regel für Bauten- und Feuchteschutz

Nach EnEV Anlage 4 darf der n50-Wert den Grenzwert von 3,0 h-1 nicht überschreiten, aber auch nur dann, wenn mit einem Blower-Door-Test die Luftdichtheit der Gebäudehülle gemessen wird. Das bedeutet, er kann theoretisch zwischen 0 und 3,0 h-1 oder höher angenommen werden, wodurch praktisch jedes beliebige Ergebnis bezüglich der Notwendigkeit einer LtM erzielt werden kann. Eine Überschätzung bewirkt, dass die lüftungstechnischen Komponenten unterdimensioniert sind. Die Norm gibt deshalb keine belastbare Regel an, um den Bauten- und Feuchteschutz sicherzustellen.

In großer Bandbreite schätzen

Dass eine Schätzung in großer Bandbreite gerechtfertigt ist, zeigen zahlreiche Ergebnisse von Blower-Door-Messungen. Zeller et al. [21] nennen beispielsweise für 105 Niedrigenergie-Neubauten einen Mittelwert von n50 = 2,5 h-1 mit einer Standardabweichung von 2,17 h-1. Trauernicht [22] veröffentlicht seine Ergebnisse im Internet und kommt bei Gebäuden ohne RLT-Anlagen auf einen Mittelwert von 2,1 h-1. Richter und Reichel [23] stellten fest, dass der Anteil der Innenleckagen ca. die Hälfte ausmacht.

n50-Wert unterliegt starken Schwankungen im Mehrfamilienhaus

Neuere Messergebnisse von Kaschuba-Holtgrave et al. [24] belegen mittels Schutzdruckmessung, dass innerhalb eines Mehrfamilienhauses der n50-Wert starken Schwankungen unterliegen kann, siehe Tabelle Bild  14. Mittels Messung mit und ohne Schutzdruck ermittelten sich die internen Leckagen immer noch zu ca. 27 %.

DIN 1946-6neu: Keine Anhaltswerte, ob LtM notwendig

Hinzu kommt, dass der n50-Wert abhängig vom A/V-Verhältnis (Kompaktheit) des Gebäudes ist [25], was bei den n50-Auslegungswerten in DIN 1946-6neu Tabelle 10 von 1,0 bis 2,0 h-1 nicht zum Ausdruck kommt. Diese Auslegungswerte können, müssen aber nicht verwendet werden. Sie gelten auch nur für LtM (siehe Spaltenüberschrift ebenda). Das bedeutet, für die Feststellung, ob eine LtM notwendig ist (Lüftungskonzept), gibt die DIN 1946-6neu keine Anhaltswerte an. Im Vergleich zu den Ergebnissen in Tabelle  Bild  14 wäre die Infiltration in einigen Wohnungen überschätzt und die lüftungstechnischen Komponenten zu klein dimensioniert.

 

Bild 14  n50-Ergebnisse mit Schutzdruckmessung innerhalb eines GebäudesAlle Mehrfamilienhäuser sind mit einer zentralen Abluftanlage ausgestattet.

Nadler

Bild 14  n50-Ergebnisse mit Schutzdruckmessung innerhalb eines Gebäudes
Alle Mehrfamilienhäuser sind mit einer zentralen Abluftanlage ausgestattet.

 

Schutzdruckhaltungen in umliegenden Wohnungen prüfen

Wird ein n50-Wert als Zielwert vereinbart, sind für die Kontrolle der Vereinbarung im Mehrfamilienhaus während der Prüfung Schutzdruckhaltungen in den umliegenden Wohnungen notwendig. Da dies sehr aufwendig und entsprechend teuer ist, wird diese Maßnahme – eventuell durch Mehrfachmessung baubegleitend – selten vorkommen. Bei den Blower-Door-Messungen muss auch sichergestellt sein, dass das richtige Luftvolumen ermittelt wird und dass bestimmte Öffnungen nach [26] präpariert werden, damit der n50-Wert für die Zwecke der Infiltrationsberechnung nur ein Maß für die Leckagen der Gebäudehülle darstellt.

Bei offenen Innentüren messen

Die Messung erfolgt bei offenen Innentüren. Da diese im täglichen Gebrauch oft geschlossen sind, könnte durch den höheren Strömungswiderstand der Messwert nicht dem realen Betrieb entsprechen. Außerdem werden durch die Blower-Door-Messungen auch unbeheizte Räume erfasst bzw. auch Räume, die nicht gelüftet werden sollen. Der Messwert ist auch hinsichtlich der internen Leckagen kritisch zu betrachten. Das gilt auch im Sanierungsfall, wenn vor der Planung gemessen werden kann.

Verteilung der Infiltration nach DIN 1946-6neu

Die Verteilung der errechneten Infiltration für die gesamte Nutzungseinheit auf die einzelnen Räume erfolgt nach DIN 1946-6neu anhand von Verhältniswerten für die Bedarfsvolumenströme und nicht nach dem Vorhandensein von Durchlässigkeiten im Raum. Das gilt sogar für kleine Öffnungen, deren Ort bekannt ist und deren Infiltration nach Gleichung (5) in DIN 1946-6neu berechnet werden kann. In innen liegenden Räumen darf die Infiltration nicht dem Abzug unterliegen, was bei der Norm-Berechnung nicht berücksichtigt wird.

Infiltration normativ festlegen

Damit der Bauherr vergleichbare Angebote erhält, wäre eine normative Festlegung der Infiltration denkbar. Die Festlegung könnte sich daran orientieren, dass im 5-Tagesmittel ein Minimalwert mit großer Wahrscheinlichkeit vorhanden sein wird. Das ist auch wichtig für die ausführende Firma, die eine Gewährleistung des Bautenschutzes übernehmen muss.

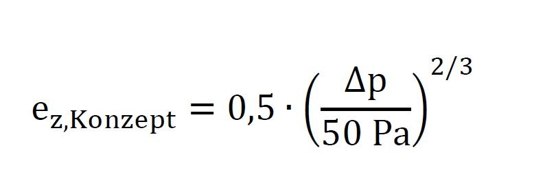
Die Infiltrationsberechnung für das Lüftungskonzept erfolgt in DIN 1946-6neu mit ez,Konzept-Werten. Der Zusammenhang zur alten DIN 1946-6 ist über [2, Gleichung (3)] gegeben durch

Gl. 1

ez,Konzept Volumenstromkoeffizient für das Lüftungskonzept

δp Auslegungs-Differenzdruck in Pa

Der Auslegungs-Differenzdruck bestimmt sich nicht nur aus dem Staudruck in Abhängigkeit der Windgeschwindigkeit, sondern es gehen noch eine Reihe weiterer Einflussfaktoren hierauf ein (siehe [2, Abschn. 6.2]). In Tabelle Bild  15 sind die ez,Konzept-Werte sowie deren Annahmen zum Auslegungs-Differenzdruck angegeben.

 

Bild 15  Auslegungs-Differenzdruck Δp und ez,Konzept-Werte nach DIN 1946-6neu [1, Tabelle 5] im Vergleich mit alter DIN 1946-6 [2] (Klammerwerte nach Gl. 1).

Nadler

Bild 15  Auslegungs-Differenzdruck Δp und ez,Konzept-Werte nach DIN 1946-6neu [1, Tabelle 5] im Vergleich mit alter DIN 1946-6 [2] (Klammerwerte nach Gl. 1).

 

DIN 1946-6neu: Änderungen zum Lüftungskonzept

Im Vergleich mit der alten DIN 1946-6 zeigt sich anhand der Werte für ez,Konzept, dass die Infiltration für das Lüftungskonzept bei gleichem n50-Wert und Luftvolumen der Nutzungseinheit nun um 17 bis 46 % verringert ist. Die Änderungen zum Lüftungskonzept können aus Tabelle Bild  16 beispielhaft abgelesen werden. Dabei ist berücksichtigt, dass sich auch die erforderlichen Gesamt-Außenluftvolumenströme nach Gleichung (8) in DIN 1946-6neu geändert haben.

n50-Wert ist schlechter Schätzwert

Außer bei größeren Raumhöhen sind für n50  1,0 h-1 lüftungstechnische Maßnahmen bis auf den neuen Fall „geringe Belegung“ in der Regel immer notwendig. Weitere Beispiele sind in [27] enthalten. Die Beispiele verdeutlichen auch die Empfindlichkeit für die Entscheidungsfindung im Bereich von n50 = 1,0…2,0 h-1 und belegen die schlechte Eignung des n50-Wertes als Schätzwert.

Infiltration nicht berücksichtigen oder genau berechnen

Es könnte deshalb sinnvoller sein, auf die Berücksichtigung der Infiltration ganz zu verzichten oder diese anhand von definierten Bauteilfugen bzw. Öffnungen genauer zu berechnen. Der Verzicht könnte auch dadurch begründet werden, dass in der Norm mit einer Infiltration gelüftet wird, deren Auftreten eher „zufällig“ ist. Eine unkontrollierte Lüftung gefährdet den Bautenschutz und die Hygiene in den einzelnen Räumen. Wegen fehlender Bedarfsregelung führt sie auch zu einem erhöhten Energieverbrauch und kann die Lüftungsautorität der ALD so herabsetzen, dass eine einwandfreie Funktion der Anlage gefährdet ist.

Die Vorteile einer ventilatorgestützten Lüftungsanlage (Filterung, Wärmerückgewinnung, Regelung) können durch die Einrechnung der Infiltration in der Auslegung nur mit „anteiligen Eigenschaften“ beworben werden. Bei einer Abluftanlage wird die Infiltration um über das 5-fache erhöht (ez/ez,Konzept). Aus Sicht der TGA-Planung ist die Infiltration darum so zu verringern, dass sie nicht mehr in der Berechnung berücksichtigt werden muss bzw. aus Sicherheitsgründen nicht eingerechnet wird.

Zumutbare Fensterlüftung

Das entbindet den Planer jedoch nicht davon, ein Lüftungskonzept zu erstellen. Eine andere planbare Möglichkeit stellt die Anrechnung der von den Gerichten als zumutbar erachteten Fensterlüftung dar. Hierüber wird demnächst an anderer Stelle berichtet.

 

Bild 16 Notwendigkeit lüftungstechnischer Maßnahmen (LtM) nach DIN 1946-6 neu [1] im Vergleich mit alter DIN 1946-6 [2]. Blau markiert: LtM erforderlich.

Nadler

Bild 16 Notwendigkeit lüftungstechnischer Maßnahmen (LtM) nach DIN 1946-6 neu [1] im Vergleich mit alter DIN 1946-6 [2]. Blau markiert: LtM erforderlich.

 

Zusammenfassung

Marketinginstrument ohne physikalischen Hintergrund

Die Tabelle 7 und Gleichung (8) der DIN 1946-6neu zur Auslegung der Volumenströme stellen nur ein Marketinginstrument ohne bzw. mit zweifelhaftem physikalischem Hintergrund dar. Einfacher wäre es, wenn nach DIN EN 15 251 eine Personenluftrate mit dem Auftraggeber vereinbart wird.

DIN 1946-6neu behandelt NE wie einzelnen Raum

DIN 1946-6neu geht von einem Raumluftverbund, also von offenen Innentüren in der gesamten Nutzungseinheit aus. Sie behandelt die NE wie einen einzelnen Raum. Anschließend verteilt sie den für die NE errechneten Volumenstrom anteilmäßig auf die einzelnen Räume. Die „Einzelraumbehandlung“ erkennt man nicht nur an Tabelle 7 und Gleichung (8) der Norm, sondern auch an der Berechnung der Infiltration und an den Begrenzungen in der Betriebsweise der Lüftungsanlage.

Anlagen mit Überströmung: Nur Sollte-/Kann-Anforderung an die Regelung

Die Sinnhaftigkeit der Sensorik bei Anlagen mit Überströmung aus mehreren Räumen ist fragwürdig, da nur ein Mischluftzustand erfasst werden kann. Folglich gibt es nur eine Sollte-/Kann-Anforderung an die Rege-lung und eine Begrenzung der Volumenströme nach unten. Diese Begrenzung und / oder der Verzicht auf eine raumweise Regelung hat jedoch den Nachteil, dass ein unnötig höherer Energieverbrauch zur Erwärmung der einströmenden Luft in den unbenutzten Räumen vorhanden ist.

Offene Innentüren nicht realistisch

Offene Innentüren sind keine realistische Annahme. Gewöhnlich werden die Türen von Zimmern, in denen geschlafen wird und von Bädern und WC-Räumen geschlossen sein. Selbst wenn Überströmluftdurchlässe (ÜLD) eingebaut werden, findet bei Abluftanlagen und Zu-/Abluftanlagen zwischen den Zulufträumen kein Luftaustausch, der eine „Einzelraumbehandlung“ rechtfertigen würde, statt. Auch bei der freien Lüftung wird der größere Strömungswiderstand der ÜLD gegenüber offenen Innentüren den bei der Norm vorausgesetzten Raumluftverbund stark einschränken. Die Tatsache, dass ÜLD eingebaut werden müssen, widerspricht schon der Annahme, dass offene Innentüren vorhanden sind. Der Vermieter kann vom Mieter auch nicht verlangen, nachts die Schlafzimmertür aus Lüftungsgründen offen zu halten (Landgericht Bochum, Az. I-11 S 33/16).

So kann es vorkommen, dass sich mehrere Personen nur in einem Raum befinden, während die erforderliche Luftleistung in den restlichen nicht benutzen Räumen erbracht wird. Damit ergeben sich Feuchte- und hygienische Belastungen im belegten Raum, die sich nur auf ein Raumvolumen beschränken und nicht auf die gesamte NE erstrecken. Die Folge ist ein über das geplante Maß hinausgehendes Ansteigen der relativen Feuchte und der CO2-Konzentration in dem gerade belegten Raum.

Nutzerunabhängige Lüftung mit DIN 1946-6neu nicht möglich

Eine nutzerunabhängige freie oder ventilatorgestützte Lüftung ist durch die Auslegungsmethodik der DIN 1946-6neu nicht möglich, da ein zum Zwecke der Gesundheit erforderlicher Mindestluftwechsel (EnEV § 6) nicht erreicht wird. Für eine hygienische Raumluftqualität muss auch unter Normalbelastung zusätzlich eine Fensterlüftung erfolgen. Daraus ergibt sich ein vertragsrechtliches Problem, wenn der Bauherr den Einbau einer mechanischen Lüftungsanlage beauftragt und die erwarteten Komfortbedingungen ausbleiben.

Darum muss raumweise ausgelegt werden

Ein Anzeichen dafür, dass eine raumweise Auslegung für den Feuchteschutz erfolgen muss ist, dass Schimmelpilzschäden selten flächendeckend in der gesamten NE auftreten, sondern in einzelnen Räumen und an bestimmten Stellen, vornehmlich in Schlafräumen.

a happy funny children paint with paint

JenkoAtaman - stock.adobe.com

a happy funny children paint with paint

Personenluftrate nur für stationäre Verhältnisse

Da die Personenluftrate nur für stationäre Verhältnisse gilt, werden die Aufnahmekapazität des für die Belastung durch Feuchte und Gerüche zur Verfügung stehenden Raumvolumens sowie die Andauer der Belastung nicht berücksichtigt. Es empfiehlt sich deshalb eine Auslegung anhand der projektbezogenen Personenzahl, der Belegungszeit im Raum, des Raumvolumens, der Raumlufttemperatur und des Wärmeschutzes sowie einer vereinbarten Raumluftqualität.

Raumluft durch zu hohe Volumenströme zu trocken?

Weiterhin muss eine rechnerische Überprüfung bezüglich einer eventuell zu trockenen Raumluft durch zu hohe Volumenströme im Auslegungszustand erfolgen. Entsprechende Gegenmaßnahmen sind in die Planung einzubeziehen, wie beispielsweise in der ÖNORM H 6038. Dass dies mit vereinfachten Berechnungsverfahren, die den physikalischen Sachverhalt berücksichtigen, möglich ist, wurde oben gezeigt.

Dezentrale Lüftungsgeräte durch Normvorschriften ausgeschlossen

Dezentrale Lüftungsgeräte mit Wärmerückgewinnung und raumweiser Regelung bis auf 0 m3/h erfüllen bereits einige der genannten Anforderungen, werden aber durch die Volumenstrombegrenzung nach unten, die nur bei den meisten zentralen Geräten bzw. Systemen notwendig ist, durch Normvorschriften ausgeschlossen.

Bestimmte Systeme bevorzugt

Dass bestimmte Systeme bevorzugt werden, erkennt man auch an einer Forderung, die nur für Lüftungsschächte und Einzelraumlüftungsgeräte aufgestellt ist: „Geruchsübertragungen in andere Räume derselben Nutzungseinheit sind zu vermeiden.“ Mit dieser Anforderung dürften die freie Querlüftung und die Pendellüftung nicht eingesetzt werden. Aber auch bei den anderen Systemen ist eine Geruchsübertragung, beispielsweise durch die Mehrfachnutzung der Luft oder durch ungünstige Druckverhältnisse, möglich. Auch ein Flur unterliegt einer Geruchsübertragung. Für diese Systeme wird diese Anforderung jedoch nicht gestellt.

Werden die dezentralen Geräte als Pendellüftung in allen Zulufträumen der Nutzungseinheit betrieben, entsprechen sie eher der Annahme eines Raumluftverbunds mit offenen Innentüren, als die Systeme, welche nur eine Strömungsrichtung aus dem Zuluftraum in den Überströmraum kennen.

1946-6neu: Kein Plan für moderne Grundrisse

Für heutige Grundrisstypen mit teilweise offener Bauweise oder verbessertem Wärmeschutz liegen in DIN 1946-6neu keine Planungsempfehlungen vor bzw. sind die allgemeinen Planungsempfehlungen ungeeignet.

Happy friends watching comedy movie and eating popcorn, sitting on floor at home

Prostock-studio - stock.adobe.com

Happy friends watching comedy movie and eating popcorn, sitting on floor at home

Fazit

Die DIN 1946-6neu erfüllt in mehrfacher Hinsicht nicht die Anforderungen der Grundsätze der Normungsarbeit, wie sie vom DIN selbst in DIN 820 aufgestellt wurden. Sie benachteiligt einige Lüftungssysteme und berücksichtigt nicht den Stand der Technik in der Bauweise. Besonderheiten der verschiedenen Lüftungssysteme werden bei der Ermittlung des Volumenstrombedarfs und Regelung ebenfalls nicht berücksichtigt.

Halten sich mehrere Nutzer für längere Zeit in einem Raum auf, so werden hygienische Zustände nicht erreicht. Eine nutzerunabhängige Lüftung kann somit nicht garantiert werden. Die Nutzerunabhängigkeit bezieht sich in DIN 1946-6neu ohnehin nur auf die Lüftung zum Feuchteschutz. Das ist illusorisch, da bei Auslegung nach dieser Lüftungsstufe erst recht keine hygienischen Zustände vorliegen können und auf die Fensteröffnung nicht verzichtet werden kann.

Vor allem wegen der Möglichkeit, dass durch Auslegung und Betrieb nach Norm eine gesundheitsgefährdende lüftungstechnische Maßnahme geplant wird, sollte DIN 1946-6neu nicht vertraglich vereinbart werden. Ansonsten sind eindeutige Hinweise erforderlich, um eine stillschweigende Vereinbarung nicht erfüllbarer Funktionen auszuschließen. Eine Etablierung als anerkannte Regel der Technik wird sich auch für die neue DIN 1946-6 wohl kaum ergeben.

Literatur

 [1] DIN 1946-6:2019 im Artikel auch DIN 1946-6neu Raumlufttechnik – Teil 6: Lüftung von Wohnungen – Allgemeine Anforderungen, Anforderungen an die Auslegung, Ausführung, Inbetriebnahme und Übergabe sowie Instandhaltung. Der Weißdruck ist noch nicht veröffentlicht, Verweise und Zitate basieren auf dem aktuellen Stand im Normenausschuss.

 [2] DIN 1946-6 Raumlufttechnik – Teil 6: Lüftung von Wohnungen – Allgemeine Anforderungen, Anforderungen zur Bemessung, Ausführung und Kennzeichnung, Übergabe/Übernahme (Abnahme) und Instandhaltung. Berlin: Beuth Verlag, Mai 2009

 [3] VDI 6022 Blatt 1 Raumlufttechnik, Raumluftqualität Hygieneanforderungen an raumlufttechnische Anlagen und Geräte (VDI-Lüftungsregeln). Berlin: Beuth Verlag, Januar 2018

 [4] DIN EN 15 251 Eingangsparameter für das Raumklima zur Auslegung und Bewertung der Energieeffizienz von Gebäuden – Raumluftqualität, Temperatur, Licht und Akustik; Deutsche Fassung EN 15251:2007. Berlin: Beuth Verlag, Dezember 2012

 [5] ÖNORM H 6038 Lüftungstechnische Anlagen – Kontrollierte mechanische Be- und Entlüftung von Wohnungen mit Wärmerückgewinnung Planung, Ausführung, Inbetriebnahme, Betrieb und Wartung. Wien, Austrian Standards International, Februar 2014

 [6] DIN SPEC 4108-8:2019 Wärmeschutz und Energie-Einsparung in Gebäuden –Teil 8: Vermeidung von Schimmelwachstum in Wohngebäuden. Vorgänger: DIN-Fachbericht 4108-8. Berlin: Beuth Verlag, noch nicht veröffentlicht, Verweise und Zitate basieren auf dem aktuellen Stand im Normenausschuss

A group of young cheerful friends relaxing indoors, house sharing concept.

Halfpoint - stock.adobe.com

A group of young cheerful friends relaxing indoors, house sharing concept.

 [7] DIN 4108-2:2013-02: Wärmeschutz und Energie-Einsparung in Gebäuden –Teil 2: Mindestanforderungen an den Wärmeschutz. Berlin: Beuth Verlag.

 [8] Nadler, N.: Volumenströme nach Bedarf ermitteln! Stuttgart: Gentner Verlag, TGA Fachplaner 12-2017

 [9] Gesundheitliche Bewertung von Kohlendioxid in der Innenraumluft. Mitteilungen der Ad-hoc-Arbeitsgruppe Innenraumrichtwerte der Innenraumlufthygiene-Kommission des Umweltbundesamtes und der Obersten Landesgesundheitsbehörden. Berlin: Springer Medizin Verlag, Bundesgesundheitsblatt – Gesundheitsforschung – Gesundheitsschutz, 51, Seite 1358–1369, 2008

[10] EwWalt Energetische Bewertung dezentraler Einrichtungen für die kontrollierte Wohnraumlüftung mit alternierender Betriebsweise. Forschungsprojekt der Projektpartner: RWTH Aachen, Forschungsgesellschaft HLK Stuttgart mbH und ITG Institut für Technische Gebäudeausrüstung Dresden; Fördergeber: Bundesinstitut für Bau-, Stadt- und Raumforschung, Förderkennzeichen SWD-10-08.18.7-16.32. Kurzbeschreibung in: Dezentrale Wohnraumlüftung hat hohe Lüftungseffizienz. Stuttgart: TGAnewsletter 10c-2018 vom 25. Oktober 2018.

[11] Kostenloses Softwaretool MindLW zur Berechnung des Mindestluftwechsels für die Hygienelüftung hier 

[12] Meyer, C; Kaiser, J.; Oppermann, J; Wimmer, A.: Zentrale Wohnungslüftung – eine unfertige Technologie? Gütersloh: Bauverlag, tab 09-2003

[13] Reuter, T.: Referenzbericht: Befeuchtete Raumluft in Büroräumen. Karlsruhe: cci Dialog, cci Branchenticker vom 28.11.2018

[14] Fragen und Antworten zur Raumluftfeuchte. Bietigheim-Bissingen: Fachverband Gebäude-Klima, FGK Status-Report 8 Nr.: 139, 06-2016.

[15] Hugentobler, W.: Wüstenklima im Büro. Gesundheitliche Folgen zu trockener Raumluft – Teil 1. Stuttgart: Gentner Verlag, GEB 01-2017

[16] Hugentobler, W.: Grippe-Alarm! Draußen zu kalt? Nein, drinnen zu trocken. Gesundheitliche Folgen zu trockener Raumluft – Teil 2. Stuttgart: Gentner Verlag, GEB 04-2017

[17] Grupp, R.: Wohnungslüftung und Regelung der Raumluftfeuchte. Karlsruhe: cci Dialog, cci Forum, 6. 2. 2017.

[18] Kirmayr, T.: High Tech Membranen zur energiesparenden und hygienischen Raumluftbefeuchtung. Stuttgart: Fraunhofer IRB Verlag, IBP-Bericht EER 014/2017/953, Forschungsinitiative ZukunftBau F 3073, 2018

[19] Nadler, N.: Ist eine kontinuierliche Lüftung zum Feuchteschutz zielführend? Stuttgart: Gentner Verlag, TGA 08-2017

[20] Kohonen, R.; Katajisto, K.; Heimonen, I.; Marjamäki, P.: A zone model for air room energy balance. Espoo: Technical Research Center of Finnland, VTT, Dokument des IEA-Annex 17 (AN17-891017-03), 1989

[21] Zeller, J.; Dorschky, S.; Borsch-Laaks, R.; Feist, W.: Luftdichtigkeit von Gebäuden. Darmstadt: Hrsg.: IWU, 1995

[22] Trauernicht, H.: Statistik über Blower-Door-Messergebnisse 1998 bis 2004. 

[23] Richter, W.; Reichel, D.: Luftdichtigkeit von industriell errichteten Wohngebäuden in den neuen Bundesländern. Stuttgart: Fraunhofer IRB Verlag, Bauforschungsergebnisse des BRBS, 1998

[24] Kaschuba-Holtgrave, A.; Rohr, A.; Rolfsmeier, S.; Solcher, O.: Einzel- und Schutzdruckmessungen an Mehrfamilienhäusern – Messergebnisse. Hannover: 10. Internationales Buildair-Symposium vom 31. 03. bis 01. 04. 2017, energie + umwelt zentrum

[25] Heinz, E.: Wohnungslüftung – frei und ventilatorgestützt. Berlin: Beuth Verlag, 3. Auflage 2016

[26] FLiB-Checkliste für Verfahren B. Auszug aus Beiblatt zur DIN EN 13 829. Berlin: Fachverband Luftdichtheit im Bauwesen, Mai 2015

[27]  www.cse-nadler.de/LtM_imWandel.pdf

 

Bild 17 Regelung des Volumenstroms beim Silvento ec mit Komfortplatine wenn die intelligente Feuchteregelung aktiviert ist.

Lunos

Bild 17 Regelung des Volumenstroms beim Silvento ec mit Komfortplatine wenn die intelligente Feuchteregelung aktiviert ist.

Intelligente Feuchteregelung in der Praxis

Lunos hat die Anforderungen schon vor langer Zeit erkannt und entsprechend reagiert. Der Abluftventilator Silvento ec ist das Ergebnis der konsequenten Weiterentwicklung des Einrohrventilators. Bereits in der Basisversion können die Volumenströme der Grundlüftung und Bedarfslüftung zwischen 0 und 60 m3/h frei konfiguriert werden und dauerhaft, per Schalter und / oder Intervallbetrieb, angesteuert werden. Ergänzt um eine konfigurierbare Einschaltverzögerung und Nachlaufzeit besitzt die Basisversion alle Funktionen, um konform zu geltenden Lüftungsnormen zu entlüften.

Der Silvento ec mit Komfortplatine verfügt zusätzlich über eine stufenlose Komfort-Feuchte-Temperaturregelung. Eine feinere und individuellere Feuchteregelung, die den Lüfter sogar ohne dauerhafte Grundlüftung steuert, gab es zuvor nicht. Der verwendete Sensor misst die relative Feuchtigkeit der angesaugten Luft mit einer Genauigkeit von ± 2 % und die Temperatur mit einer Genauigkeit von ± 0,2 °C. Bei der im Standard aktivierten intelligenten Feuchteregelung wird anhand der gemessenen Werte von relativer Luftfeuchtigkeit und Temperatur auf die relative Luftfeuchtigkeit bei 22 °C (Normbedingung) zurückgerechnet, praktisch entspricht das einer Regelung nach absoluter Luftfeuchtigkeit. Der ermittelte Wert dient dann zur Regelung des Volumenstroms zwischen 50 und 70 % relativer Luftfeuchtigkeit bei 22 °C, wie in Bild 17 dargestellt.

Dieser Artikel ist eine Überarbeitung des Artikels „Eine Norm, die das Planen erschwert“ von Dipl.-Ing. Norbert Nadler, erschienen in TGA 03-2019.
 

Lesen Sie auch:

Neue DIN 1946-6, neue Software
DIN SPEC 4108-8: Lüftungskonzept mit Fensterlüftung erstellen
Studienergebnis: Geballt Aerosole im Klassenraum trotz Fensterlüftung