Springe auf Hauptinhalt Springe auf Hauptmenü Springe auf SiteSearch
Bedarfsgeführte Lüftung

Mehr Komfort mit weniger Energie

Kompakt informieren

  • In vielen gewerblichen und öffentlichen Gebäuden werden Lüftungsanlagen nicht nach dem tatsächlichen Bedarf geregelt. Damit verbunden sind ein unnötig hoher Energieverbrauch und oft ein als unangenehm empfundenes Raumklima.
  • Der Energieverbrauch lässt sich in der Regel mit geringem Aufwand durch eine bedarfsgeführte Regelung der Lüftungsanlage senken, besonders hohe Einsparungen lassen sich beim Stromverbrauch der Ventilatoren realisieren.
  • Weitere Einsparungen und ein deutlicher Komfortgewinn lassen sich über den Algorithmus Climotion erschließen.

Wo gehobelt wird, da fallen Späne. Nicht nur beim Tischler: Überall, wo Menschen und Maschinen arbeiten, gibt es Verunreinigungen. Diese machen sich auch in der Luft bemerkbar – etwa durch Staub- und Schmutzpartikel oder die zunehmende Konzentration von Gasen, beispielsweise Kohlendioxid. Lüftungsanlagen sollen diese Verunreinigungen auf ein erträgliches Maß reduzieren, damit sich der Mensch wohlfühlt und die Maschine arbeiten kann.

Die Frage ist jedoch: Was ist gute oder zumindest erträgliche Luft? Und wie muss die Lüftung für eine bestimmte Luftqualität ausgelegt sein? Eine klare Antwort darauf gibt bisher die Norm DIN EN 13 779 1) für die Lüftung von Nichtwohngebäuden: Sie legt für die Innenluft (IDA) vier Qualitätsklassen fest: IDA 1 steht für die höchste, IDA 4 für die niedrigste Qualität. Der Planer oder Anlagenbauer legt die Lüftung danach aus, welche IDA-Kategorie gefordert wird.

Bei Nichtwohngebäuden, in denen sich regelmäßig Menschen aufhalten, muss er zudem die Anzahl der Personen berücksichtigen, die dort tätig bzw. untergebracht sind. Denn im Wesentlichen sind es die Nutzer, die die Luft am stärksten verunreinigen – durch Atmen, Rauchen und andere Ausdünstungen. Je mehr Personen sich in einem Raum aufhalten, umso mehr Frischluft muss zugeführt werden. Ein anerkannter Indikator für „verbrauchte Luft“ ist eine gegenüber der Außenluft erhöhte bzw. steigende CO 2 -Konzentration in der Raumluft. DIN EN 13 779 gibt Standardwerte vor, wie viel Außenluft pro Person in einem bestimmten Zeitraum zugeführt werden muss Abb. 2.

Powerlüftung ärgert Betreiber und verringert den Komfort

Ginge es nur um die Luftqualität, müsste man die Anlage möglichst leistungsstark auslegen und sie permanent unter Volllast betreiben. Dies würde Nutzern und Betreibern aber wenig Freude bereiten. Denn eine für die meiste Nutzungszeit überdimensionierte Lüftung verursacht hohe Betriebskosten ohne Komfortgewinn. Im Gegenteil: Bei starker Belüftung beklagen sich die Nutzer häufig über Zugluft und damit verbundene Beschwerden, wie trockene Augen, Verspannungen und Kopfschmerzen.

Beim Ventilator treibt insbesondere die unnötig geförderte Luftmenge die Leistungsaufnahme in die Höhe (siehe unten). Dazu kommt die thermische Energie, die benötigt wird, um die zugeführte Außenluft auf die erforderliche Raumtemperatur zu bringen.

Smarte Regelung erhöht Effizienz und bietet mehr Komfort

Die intelligente Alternative zur Dauerlüftung ist die bedarfsgeführte Lüftung. Sie führt frische Luft nur in dem Umfang zu, der tatsächlich benötigt wird. Wobei sich der Bedarf aus unterschiedlichen Kriterien ergeben kann. Allgemein gilt: Je intelligenter die Regelfunktionen sind, desto zufriedener sind alle Beteiligten. DIN EN 13 779 unterscheidet sechs Regelungskategorien: IDA – C1 steht für eine Anlage, die überhaupt nicht geregelt ist, IDA – C6 für eine intelligente, bedarfsgeführte Regelung, die die Luftqualität mithilfe von Gassensoren erfasst Abb. 3.

Einsparpotenziale lassen sich im Voraus abschätzen

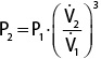
Beim Stromverbrauch des Ventilators wird das Einsparpotenzial einer smarten Lüftung besonders deutlich: Halbiert man den Volumenstrom (), reduziert sich die Leistungsaufnahme (P) etwa auf ein Achtel. Die Faustregel ist aus Proportionalitätsgesetzen abgeleitet, näherungsweise kann angenommen werden:

Auf Basis dieser Gleichung und ein paar zusätzlicher Annahmen kann man im Vorfeld eines Projekts abschätzen, wie viel elektrische Energie für den Ventilatorbetrieb eine bedarfsgeführte Regelung einsparen wird. Die Betreiber eines großen Hörsaals können beispielsweise fast 8000 Euro/a an Stromkosten einsparen, wenn sie auf eine Bedarfsregelung umrüsten. Verglichen mit vielen anderen Maßnahmen zur Energieeinsparung ist der Aufwand für die Umrüstung gering und die Investition schnell amortisiert Abb. 4.

Die Rechnung ist in der Theorie recht einfach: Wenn für das Audimax eine mäßige Luftqualität nach IDA 3 vorgegeben ist, muss die Lüftung bei voller Belegung rund 36 000 m 3 /h Außenluft zuführen. Die Leistungsaufnahme kann über den SFP-Wert berechnet werden, er kennzeichnet als Verhältnis von aufgenommener elektrischer Ventilatorleistung zum geförderten Luftvolumenstrom (SFP-Wert; specific fan power) den Leistungsgrad einer Ventilatoranlage. Die SFP-Kategorien sind ebenfalls in DIN EN 13 779 definiert: SFP 1 steht für maximale, SFP 7 für minimale Effizienz.

Die Energieeinsparverordnung (EnEV) fordert bei Neu- oder Umbauten und Anlagen mehr als 4000 m 3 /h mindestens die Klasse SFP 4 (1250 bis 2000 Ws/m 3 ). Das heißt für das Beispiel: Der Ventilator hat eine maximale Leistung von 20 kW. Wenn der Hörsaal und damit die Lüftung rund 2000 h im Jahr betrieben werden, beträgt der Stromverbrauch 40 000 kWh/a. Bei einem Strompreis von 0,25 Euro/kWh summieren sich Stromkosten für den Ventilator von 10 000 Euro/a.

In der Regel ist ein Audimax dieser Größe aber nur in den seltensten Fällen voll besetzt. Um den Unterschied zwischen ungeregelter und bedarfsgeführter Lüftung deutlich zu machen, nehmen wir vereinfachend an, dass der Hörsaal lediglich in 10 % der Zeit maximal ausgelastet ist, während er in den restlichen 90 % zur Hälfte gefüllt ist. Bei halber Personenzahl wird nur noch halb so viel Außenluft benötigt, also 18 000 m³/h. Die Leistungsaufnahme des Ventilators verringert sich dadurch um den Faktor 8; während 90 % der Betriebszeit sinkt die Ventilatorleistung von 20 auf 2,5 kW.

Durch die Umrüstung auf eine Bedarfsregelung sinkt der Stromverbrauch von 40 000 kWh/a auf 8500 kWh/a, die Kosten für den Strombezug verringern sich um 7875 Euro/a. So würde eine erste Abschätzung mit vereinfachenden Annahmen aussehen. Für seriöse Prognosen müssen zahlreiche weitere Faktoren und genaue Werte der Anlage berücksichtigt werden. Zudem muss gewährleistet sein, dass die Belüftung mit dem abgesenkten Volumenstrom weiterhin funktioniert.

Praxis-Erfahrungen mit smarter Lüftung und Energiemonitoring

Kieback&Peter betreut seit mehreren Jahrzehnten Vorhaben im Bereich der Lüftungsregelung. Dabei wird ein ganzheitlicher Ansatz verfolgt, der neben der professionellen Projektrealisierung auch den tatsächlichen Erfolg der Maßnahme im Blick hat. Denn Kunden sind am Ende nur zufrieden, wenn das erwartete Ergebnis stimmt. Um dieses zu überprüfen, ist es ratsam, ein Energiemonitoring einzurichten, das einen Vorher-Nachher-Vergleich ermöglicht und hilft, die Anlagen weiter zu optimieren.

In der Praxis hat sich bei der bedarfsgeführten Lüftung eine Lösung in besonderem Maße bewährt: das Automationssystem DDC4000 von Kieback&Peter kombiniert mit dem patentierten Regelungs-Algorithmus Climotion von Bosch (früher: Baopt von Bauer Optimierungstechnik).

Diese Kombination geht über die Vorteile einer herkömmlichen Bedarfsregelung hinaus: Erstens verbessert sie die Effizienz um weitere 10 bis 30 %. Zweitens berichten die Nutzer von Konferenzräumen, Konzertsälen, Turnhallen und ähnlichen Gebäuden von einem merklichen Komfortgewinn durch Climotion. Diese Erfahrungen haben die Experten von Kieback&Peter bei mehr als 200 Climotion-Projekten gesammelt – auch wenn es Ausreißer nach oben und unten gibt.

Ein spannendes Praxis-Beispiel ist das ARP-Museum in Remagen Abb. 1. Wegen seiner wertvollen Bilder und Skulpturen muss die Regelung dort Temperatur und Luftfeuchtigkeit immer exakt konstant halten – eine Herausforderung bei ständig wechselnden Besucherströmen. Im Juli 2014 rüstete Kieback&Peter dort das Automationssystem auf DDC4200 um und führte parallel die bedarfsgeführte Lüftung mit Climotion ein. Die Verbrauchserfassung des Stroms für die RLT-Anlage hat nach der Umrüstung einen großen Sprung gemacht – von durchschnittlich 320 kWh/d auf unter 100 kWh/d.

Für die Einsparung thermischer Energie liefert die Mensa der Hochschule Darmstadt interessante Werte: Kieback&Peter wurde hier im Winter 2014 gerufen, um ein akutes Komfort-Problem zu lösen: Die Zugluft war so unangenehm, dass viele Studenten beim Essen ihre Jacken anbehielten. Eine neue Lüftungstechnik sollte Schluss damit machen – ohne aufwendige Baumaßnahmen. Dies ist mit der Umrüstung dreier Lüftungsanlagen auf DDC4200 und Climotion spürbar gelungen. Obwohl bei dem Vorhaben der Komfort im Vordergrund stand, zeigen die klimabereinigten Auswertungen, dass dabei auch der Bedarf an thermischer Energie um rund 49 % gesenkt wurde.

Ungerichtete Strömung vermeidet Probleme durch Kurzschlüsse

Das Geheimnis von Climotion ist die langsame, ungerichtete Strömung und die getrennte Steuerung von Zu- und Abluft. Das patentierte System sorgt dafür, dass sich die frische Luft überall im Raum gleichmäßig mit der vorhandenen Luft vermischt. So wird ein Lüftungs-Kurzschluss verhindert, bei dem die Zuluft vom Einlass mehr oder weniger direkt wieder zum Auslass strömt.

Ein Kurzschluss verursacht folgenschwere Probleme: Der Raum wird nur noch im Bereich zwischen Ein- und Auslass belüftet. Genau dort entsteht dann unangenehme Zugluft. Außerhalb davon gibt es hingegen kaum noch Luftbewegungen und es entstehen Temperatur- und Schadstoffinseln, was bei den Nutzern Unbehagen auslöst. Außerdem melden Sensoren, die innerhalb dieser Inseln angebracht sind, permanent schlechte Luftwerte, worauf die konventionelle Regelung mit erhöhter Luftzufuhr reagiert. Das treibt unnötig den Energieverbrauch in die Höhe und verstärkt die Zugluft.

Rauchtests verdeutlichen, welchen Unterschied Climotion macht: Abb. 7 zeigt eine Turnhalle mit einfach geregelter Lüftung und gerichteter Strömung. Hier sind die unerwünschten Luftschichtungen klar erkennbar. In Abb. 8 ist deutlich zu sehen, wie gleichmäßig Climotion die Luft in derselben Turnhalle verteilt.

Kai Hübner

ist Produktmanager bei Kieback&Peter, 12347 Berlin, www.kieback-peter.de/climotion