Kompakt informieren
Sind nach DIN 1946-6 lüftungstechnische Maßnahme zum Feuchteschutz erforderlich, gibt die Norm nur Anleitung für die freie Lüftung über Außenbauteil-Luftdurchlässe oder die ventilatorgestützte Lüftung. Die Lüftung durch manuelles Fensteröffnen wird für die Auslegung rechnerisch nicht behandelt.
DIN SPEC 4108-8 ermöglicht hingegen allgemein alle Lüftungsarten anhand projektbezogener Daten und kann bei der ventilatorgestützten Lüftung auch eine Feuchterückgewinnung berücksichtigen.
Für die Auslegung einer kontinuierlich betriebenen Lüftung über ALD oder Lüftungsanlage ist ein relativ warmer Außenklimazustand zu wählen. Ein Lüftungskonzept mit manueller Fensterlüftung ist hingegen für einen sehr kalten Außenklimazustand zu erstellen.
EnEV 2016 § 6 Abs. 2 fordert: „Zu errichtende Gebäude sind so auszuführen, dass der zum Zwecke der Gesundheit und Beheizung erforderliche Mindestluftwechsel sichergestellt ist.“ Wie hoch der Mindestluftwechsel sein muss, ist in der EnEV nicht festgelegt. Hinweise zum Mindestluftwechsel gibt die bauaufsichtlich eingeführte DIN 4108-2 [3] im Abschnitt 4.2.3. Für einen ausreichenden Luftwechsel aus Gründen der Hygiene, der Begrenzung der Raumluftfeuchte sowie gegebenenfalls der Zuführung von Verbrennungsluft wird in einer Anmerkung auf den DIN-Fachbericht 4108-8 verwiesen. Der in der Ausgabe 2003 der DIN 4108-2 enthaltene Hinweis auf DIN 1946-6 ist nicht mehr enthalten.
Der Weißdruck von DIN SPEC 4108-81) wird zwei Anhänge enthalten, mit denen man grafisch (Anhang E) und rechnerisch (Anhang F) die „Lüftung zum Feuchteschutz“ unter den in DIN 1946-6:2009-05 vorgegebenen Randbedingungen auslegen kann. Im Anhang H erfolgt die Berechnung der Feuchteschutzlüftung aufgrund physikalischer Parameter. Die Anmerkung zum Luftwechsel in DIN 4108-2 kann sich deshalb nur auf die Begrenzung der Raumluftfeuchte und nicht auf die Hygiene und Verbrennungsluft beziehen.
Im Lüftungskonzept nach DIN 1946-6 gilt, wenn die Lüftungsstufe „Lüftung zum Feuchteschutz“ größer als die Infiltration durch Gebäudefugen ist, sind lüftungstechnische Maßnahmen erforderlich. Der Einfluss von wechselnden Windgeschwindigkeiten und Windrichtungen auf die Infiltration bleibt dabei unberücksichtigt. Als lüftungstechnische Maßnahme kommen nur die freie Lüftung über Außenbauteil-Luftdurchlässe (ALD) oder die ventilatorgestützte Lüftung infrage. Die Lüftung durch manuelles Fensteröffnen wird für die Auslegung rechnerisch nicht behandelt. Es wird aber an mehreren Stellen darauf hingewiesen, dass diese eventuell ergänzend notwendig ist.
In [4] wird gezeigt, dass die Berechnung der Infiltration in der Planungsphase aufgrund der Schätzung eines n50-Werts und der Bedingungen für die Blower-Door-Messung problematisch ist. Eine andere Möglichkeit für den Nachweis der Notwendigkeit lüftungstechnischer Maßnahmen im Lüftungskonzept stellt die normative Festlegung der Infiltration, die Berechnung anhand definierter Bauteilfugen bzw. Öffnungen oder die Anrechnung der von den Gerichten als zumutbar erachteten Fensterlüftung dar. Letzteres wird in diesem Beitrag beispielhaft dargelegt.
Die Fensterlüftung stellt eine diskontinuierliche Lüftung dar, an die gewisse Anforderungen zu stellen sind. Dabei gibt es auch verschiedene Freiheitsgrade, wie Kipplüftung oder Stoßlüftung, die der Planer mituntersuchen sollte. Weiterhin spielt das Feuchtepufferverhalten des Raumes bei der Lüftung eine wichtige Rolle.
Freiheitsgrade gibt es bei DIN SPEC 4108-8 auch bei der Wahl des Zuluftzustands, der sich zudem im Anhang H vom Außenklimazustand unterscheiden kann, beispielsweise durch Wärmerückgewinnung oder Enthalpieübertrager. Das heißt, Anhang H gilt allgemein für alle Lüftungsarten. DIN 1946-6 gilt dagegen nur für Lüftung mit Außenluft.
Es wird nachfolgend gezeigt, dass die Wahl des Auslegungszustands davon abhängig ist, ob eine kontinuierliche Lüftung oder eine diskontinuierliche Lüftung mittels zumutbarer Fensterlüftung angesetzt wird. Der Anhang G von DIN SPEC 4108-8 zur Berechnung der Luftvolumenströme durch offene Fenster und der Anhang H zur Berechnung der notwendigen Feuchteschutzlüftung ist durch diese Flexibilität sowohl für die gutachterliche Tätigkeit als auch für die Planung von Neubauten geeignet.
Die höhere Flexibilität drückt sich auch dadurch aus, dass im Gegensatz zur DIN 1946-6 die Auslegung anhand projektbezogener Daten erfolgt, etwa die individuelle Feuchtelast, die Raumlufttemperatur und der Wärmeschutz sowie die raumweise Berechnungsart, da sich diese Daten von Raum zu Raum unterscheiden können. Insbesondere die Feuchtelast durch freies Wäschetrocknen kann mit Anhang H für einen beliebigen Raum berücksichtigt werden.
![Bild 2: Feuchteabgabe von Beton nach Fertigstellung aus [6].](/sites/default/files/styles/aurora_default/public/aurora/2020/02/26426.jpeg?itok=Gg85JDxH) 
 Bild: Nadler / Quelle: DBV
Volumenstrom für Feuchteschutzlüftung
Den notwendigen Luftvolumenstrom für die Feuchteschutzlüftung erhält man mit Gleichung 1. Sie gilt für den Fall, dass die Feuchte sofort abgeführt werden soll. Adsorptions- und Desorptionsvorgänge, die zu einer Dämpfung des Feuchteverlaufs führen könnten, werden zunächst nicht berücksichtigt. Es wird stattdessen von einem längeren Zeitraum mit mittleren Verhältnissen ausgegangen.
Aus Gleichung 1 sind schon einige Parameter ersichtlich, die für ein Lüftungskonzept notwendig sind. Die Differenz xkrit – xZU stellt das Trocknungspotenzial dar, welches positiv sein muss, um die Feuchte über die Lüftung abzuführen. In der Regel wird für die Zuluft der Außenluftzustand eingesetzt. Wird jedoch die Zuluft konditioniert, beispielsweise mit einem Enthalpieübertrager oder Luftkühler/-erhitzer, so ist über xZU und ρZU der entsprechende Zuluftzustand in Gleichung 1 einzutragen.
Feuchtelasten
Anhang H zu DIN SPEC 4108-8 beschreibt, wie man die mittleren Feuchtelasten durch Wasserdampfproduktion im Raum und durch zuströmende Feuchte aus anderen Räumen – beispielsweise bei der Kaskadierung der Lüftung – berechnen kann. Die Wasserdampfproduktion umfasst die Feuchtefreisetzung durch Personen, Pflanzen, Wäschetrocknen und Sonstiges, wie sie bisher auch schon in den Szenarien des DIN-Fachberichts 4108-8 für die gesamte Wohnung enthalten waren.
In [5] wurden diese Szenarien so umgerechnet, dass sie auch raumweise angewendet werden können. Liegt ein Raumluftverbund von Räumen unterschiedlicher Nutzung vor, etwa Wohnen-Essen-Küche-Flur, so ist eventuell die Fußbodenfläche nach Art der Feuchtebelastung entsprechend aufzuteilen.
Bei den Feuchtelasten in Bad und Küche wird nur das Abtrocknen im Bad bzw. das Geschirrspülen in der Küche berücksichtigt. Die Feuchtefreisetzung durch Körperreinigung und Kochvorgänge sollten separat behandelt werden, da nach DIN SPEC 4108-8 Feuchtespitzen unmittelbar abzuführen sind.
Das kann entweder durch Öffnen der Fenster, durch die mechanische Entlüftung fensterloser Bäder (siehe DIN 18 017-3) oder durch eine Abluftanlage nach DIN 1946-6 geschehen. Diese Feuchtelasten gehen des-halb in die Berechnung nur fallweise ein, was bei DIN 1946-6 durch die Verteilung auf die gesamte Wohnung nicht möglich ist. Beispielsweise muss bei Zu-/Abluftanlagen diese Feuchtelast bei der Volumenstromermittlung berücksichtigt werden.
Wird in der Wohnung Wäsche frei getrocknet, kann die Feuchteabgabe auf mehrere Räume nur unter der Voraussetzung verteilt werden, dass diese Räume im Raumluftverbund mit offenen Innentüren stehen. Gegebenenfalls ist die Feuchtelast durch freies Wäschetrocknen nur einem einzelnen Raum zuzuschlagen. Bei einer Worst-Case-Betrachtung kommt hierfür der kleinste Raum infrage, der genügend Platz für das freie Wäschetrocknen hat.
Unabhängig von diesen Feuchtequellen können auch beliebige andere (individuelle) Feuchtequellen eingerechnet werden, beispielsweise nach [1, Tabelle 1] oder die Neubaufeuchte in den ersten Jahren (2).
 
 Bild: Nadler
Kritischer Feuchtegehalt
Es wird davon ausgegangen, dass sich die Feuchte durch Diffusionsvorgänge in der Raumluft gleichmäßig verteilt und somit der gleiche absolute Feuchtegehalt auf allen Bauteiloberflächen und in der jeweiligen Raumluft vorhanden ist.
Der Volumenstrom für die Feuchteschutzlüftung wird so berechnet, dass der kritische Feuchtegehalt eingehalten wird. Dieser ergibt sich aus der Forderung in DIN SPEC 4108-8, dass die Bauteiloberflächenfeuchte maximal 80 % betragen darf, um eine Schimmelpilzbildung zu vermeiden. Im kritischen Feuchtegehalt wird auch der Luftdruck berücksichtigt und damit der Höhenlage des Gebäudestandorts Rechnung getragen. Weiterhin geht über die raumseitige Oberflächentemperatur der Wärmeschutz der Bauteile ein. Es ist auch möglich, eine andere zulässige Bauteiloberflächenfeuchte einzusetzen, beispielsweise für Tauwasserbildung (100 %) oder für Baustoffkorrosion je nach Material.
Da die Feuchteschutzlüftung für den kritischen Feuchtegehalt ausgelegt wird, stellt der ermittelte Volumenstrom nach Gleichung 1 eine Mindestanforderung dar. Der kritische Feuchtegehalt erhöht sich mit der raumseitigen Oberflächentemperatur [5, Bild 1], wodurch die langsame Zufuhr von warmer, feuchter Zuluft unschädlich sein kann. Diese Abhängigkeit ist bei der Kellerlüftung im Sommer von besonderer Bedeutung und sollte bei einer Regelung nach dem Trocknungspotenzial berücksichtigt werden.
 
 Bild: Nadler
 
 
 Raumseitige Oberflächentemperatur
Die raumseitige Temperatur auf der Oberfläche eines Bauteils kann instationär oder stationär berechnet werden. Für die Dimensionierung der Feuchteschutzlüftung ist die niedrigste raumseitige Oberflächentemperatur im Raum zu bestimmen. In der Regel liegt diese an einer Wärmebrücke bzw. an einem Bauteilanschluss vor.
Da für die instationäre Berechnung von Wärmebrücken noch kein vereinfachtes Verfahren vorliegt, geht DIN SPEC 4108-8 von stationären Zuständen aus, um auch den Berechnungsaufwand in Grenzen zu halten. 
Allerdings könnte mit einer instationären Betrachtung das Schimmelpilzkriterium (80 % Bauteiloberflächenfeuchte an maximal fünf aufeinander folgenden Tagen mit 12 h/d) besser untersucht werden. 
Sind Kühlflächen im Raum vorhanden, so ist mit der niedrigsten raumseitigen Oberflächentemperatur an der Vorlaufeinführung zu vergleichen. Jedoch kann nur Schimmelpilzbildung auftreten, wenn der Untergrund porös ist. Für Kühldecken könnte mit diesem Verfahren geprüft werden, ob die Lüftung zur Vermeidung von Tauwasser ausreichend ist.
Die stationäre raumseitige Oberflächentemperatur des ungünstigsten Bauteilanschlusses ermittelt sich aus Gleichung 2. Für die Wahl der Innentemperatur sind die realen Betriebsverhältnisse der Heizung zu beachten. So wird etwa eine Auslegungsinnentemperatur im Bad von 24 °C nur bei Volllast erreicht, da die Heizkurve in der Regel auf eine niedrigere Innentemperatur eingestellt wird. Ebenso sollte im Schlafzimmer von einer Temperatur kleiner 20 °C ausgegangen werden, da hier die Heizleistung vermutlich gedrosselt wird. In unbeheizten Kellern folgt die Innentemperatur der Erdreichtemperatur.
 
 
 Als außenseitige Temperatur kommen infrage:
Der Wärmeschutz an einer Wärmebrücke wird durch den Temperaturfaktor fRsi beschrieben. Diesen findet man in Wärmebrückenkatalogen oder er wird in einer Software für Wärmebrücken errechnet. Liegen keine Angaben vor, so gilt der Mindestwert nach DIN 4108-2 von 0,70. Für ältere Bestandsgebäude enthält DIN SPEC 4108-8 Hinweise zur Bestimmung des Temperaturfaktors. Dabei können sich deutlich geringere Werte als 0,70 ergeben. In einem Wärmebrückenkatalog fanden sich Konstruktionen bis zu fRsi = 0,42 (siehe auch 
[1, Tabelle H.1]). Ist ein Fenster im Raum vorhanden, so wird am Fensteranschluss kaum ein Wert von über 0,80 erreicht. 
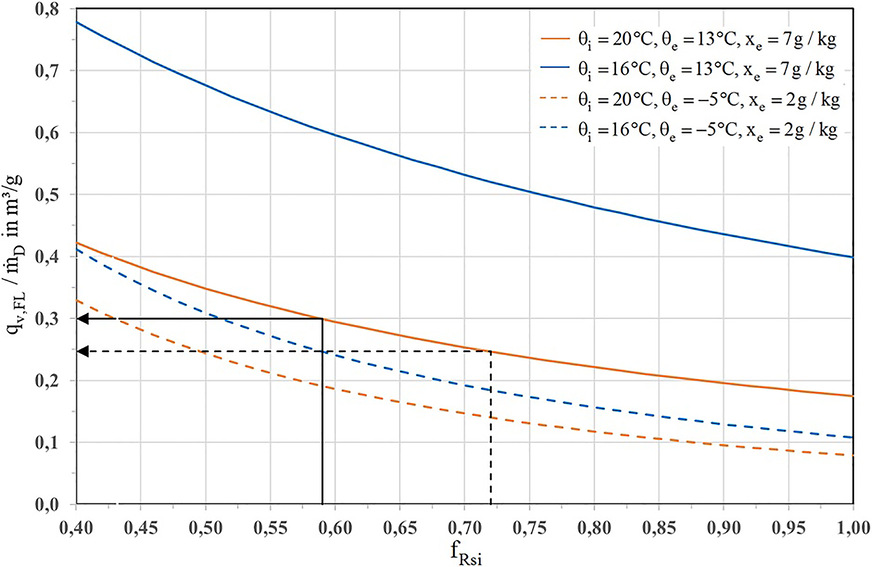
(3) zeigt, wie sich eine Erhöhung des fRsi-Werts auf den notwendigen Luftvolumenstrom zur Feuchteschutzlüftung bei gleicher Feuchtelast und unter verschiedenen Temperatur- und Außenluftfeuchtebedingungen auswirkt. Markiert sind auch beispielhaft die fRsi-Werte der DIN 1946-6 für „Wärmeschutz gering“ (schwarz durchgezogen, fRsi = 0,59) und „Wärmeschutz hoch“ (schwarz gestrichelt, fRsi = 0,72). Das belegt den unrealistisch engen Bereich, für den DIN 1946-6 gilt.
Der Einfluss des Feuchtegehalts der Außenluft xe macht sich besonders bei niedrigen Innentemperaturen bemerkbar, beispielsweise im Schlafzimmer. Für diese Räume sind deutlich höhere Volumenströme erforderlich.
Mit (3) lässt sich zwischen Lüftung und Wärmeschutz optimieren. Legt man beispielsweise ein Wohnzimmer mit 20 °C Innentemperatur für einen Außenklimazustand von 13 °C und 7 g/kg aus, so beträgt die Ersparnis im Volumenstrom bei Verbesserung des Wärmeschutzes von fRsi = 0,70 auf 0,80 ca. 13 %. Die Ersparnis im Volumenstrom wirkt sich auf die Investitions- und Betriebskosten aus. Ein besserer Wärmeschutz der Wärmebrücke nur auf die Investitionskosten.
 
 Bild: Nadler
Zumutbares und übliches Fensterlüften
Mit der Übernahme der Mietwohnung treffen den Mieter Obhutspflichten. Dies ist durch das Bürgerliche Gesetzbuch (§§ 535, 538, 241 Abs. 2 BGB) rechtlich festgelegt und gilt für jeden Mietvertrag, auch ohne dass es dort nochmals ausdrücklich erwähnt werden muss. Der Mieter muss alle ihm zumutbaren Maßnahmen ergreifen, um Schäden an der Mietsache zu vermeiden oder zu verringern. Er muss die Wohnung „pfleglich behandeln“. Dazu gehört, Witterungs- und Feuchtigkeitsschäden durch regelmäßiges Heizen und Lüften zu vermeiden. Das bedeutet auch: Ein nutzerunabhängiger Betrieb der Lüftung zum Feuchteschutz ist von Seiten des Gesetzgebers nicht vorgeschrieben.
In zahlreichen Gerichtsverfahren wurde ein zumutbares Lüften festgelegt. Dieses wurde jedoch sehr unterschiedlich beurteilt, beispielsweise:
zuzumuten, täglich drei- bis viermal stoßzulüften (LG Frankfurt/Main, Urteil
vom 16. Januar 2015, Az. 2-17 S 51/14).
14 S 14/17).
Welche Beheizung und Lüftung einer Wohnung dem Mieter zumutbar ist, kann nicht abstrakt-generell, sondern nur unter Berücksichtigung der Umstände des Einzelfalls bestimmt werden. Das ist abhängig von dem konkreten Wohnverhalten des Mieters – vor allem von den Anwesenheitszeiten in der Wohnung und dem Umfang der dort ausgeübten Tätigkeiten, die mit einer Feuchtigkeitsentwicklung verbunden sind – sowie von Art, Größe und Baujahr der Mietwohnung.
Es wurde auch außer Acht gelassen, dass es allgemein üblich ist (§ 291 ZPO), nach Vorgängen, die mit einer besonders starken Feuchtigkeitsentwicklung verbunden sind, wie etwa Kochen, Duschen und Waschen, den davon betroffenen Raum sogleich zu lüften. Der BGH hat es nicht unter allen Umständen als unzumutbar angesehen, dass der Mieter bei der Aufstellung von Möbeln einen Abstand zur Wand einhält.
die Fenster, was dem durchschnittlichen Mieter auch bekannt ist (LG Bochum, Urteil vom 19. Juli 2016 – I-11 S 33/16).
 
 
 Aus diesen Urteilen folgen die Randbedingungen für das hier vorgestellte Lüftungskonzept. Als Richtwert für die Zumutbarkeit in den Urteilen gilt, dass Mieter zwei- bis dreimal am Tag stoßlüften. Für das Schlafzimmer werden 16 °C und für die übrigen Zimmer 20 °C zugrunde gelegt. Die Innentüren zu den beheizten und unbeheizten Räumen werden rechnerisch als geschlossen angenommen.
Aus den Urteilen geht jedoch nicht hervor, wie lange bei welchen Außenklimabedingungen die manuelle Fensterlüftung erfolgen soll (muss). Hierzu gibt es einige Forschungsprojekte, die sich mit der nutzerbedingten Fensterlüftung beschäftigten. Die Ergebnisse dieser Projekte zeigen jedoch große Streuungen und es werden nur vereinzelt Regressionsformeln angegeben. Im Abschlussbericht Maas et al. [7] sind Angaben hierzu enthalten. Die Fensteröffnungsdauer wird dabei durch die Außenlufttemperatur und Windgeschwindigkeit bestimmt, siehe Gleichung 3.
 
 
 Bei – 13,5 °C würde die Fensteröffnungsdauer gegen 0 gehen. Da auch bei sehr niedriv gen Außenlufttemperaturen gelüftet werden muss, wird hier die Gleichung auf 30 min/d begrenzt. Obwohl üblicherweise die einzelnen Räume unterschiedlich gelüftet werden, z. B. Wohnzimmer weniger als Schlafzimmer, gilt diese Gleichung für alle Räume unabhängig von der Nutzung.
 
 
 Zum Nachweis, dass die Fensterlüftung ausreichend ist, muss Gleichung 4 gelten. Die notwendige Fensteröffnungsdauer am Tag ergibt sich nach DIN SPEC 4108-8 Anhang H aus Gleichung 5. Dabei wurde angenommen, dass während der Fensteröffnungsdauer aufgrund der Druckverhältnisse keine Infiltration vorliegt. qvInf gilt deshalb nur für den Zeitraum geschlossener Fenster und ist für den untersuchten Raum anhand der Durchlässigkeiten zu ermitteln. Bei einer Auslegung für den Worst Case sollte man die Infiltration zu Null setzen. Man könnte jedoch auch von einer minimalen Windgeschwindigkeit über einen längeren Zeitraum und / oder von einem Lüftungswert durch die Benutzung der Wohnung ausgehen.
In (8) ist die maximale Fensteröffnungsdauer gestrichelt dargestellt. Man kann daraus ablesen, dass die von den Gerichten als zumutbar erachteten Fensteröffnungszeiten für sehr niedrige Außenlufttemperaturen gelten. Bei höheren Außenlufttemperaturen steigt die übliche Fensteröffnungsdauer an. Mit zunehmender Windgeschwindigkeit wird das Fenster wieder früher geschlossen.
![Bild 6: Vergleich der Volumenströme für die Feuchteschutzlüftung nach DIN SPEC 4108-8 [1] mit der Lüftung zum Feuchteschutz nach DIN 1946-6 [2] für verschiedene relative Außenluftfeuchten.](/sites/default/files/styles/aurora_default/public/aurora/2020/02/29242.jpeg?itok=hGUBuXWX) 
 Bild: Nadler
Luftvolumenstrom durch offene Fenster
Der Anhang G zu DIN SPEC 4108-8 enthält Algorithmen für die Berechnung des Außenluftvolumenstroms durch offene Fenster. Es werden komplett geöffnete Fenster, gekippte Fenster, gedrehte Fenster, Fenster in Parallelabstellung, Schwingflügelfenster, Lamellenfenster und Schiebefenster behandelt. Dabei werden auch mehrere geöffnete Fenster in einem Raum oder in einer Wohnung bei geöffneten Innentüren (Querlüftung) betrachtet.
Um den Worst Case für die Auslegung abzubilden und um dem oben genannten Gerichtsurteil gerecht zu werden, kommt hier nur die einseitige Lüftung mit nur einem Fenster im Raum bei geschlossener Innentür zur Anwendung. Die Möglichkeit der Querlüftung kommt auch nur dann in Betracht, wenn mehrere Fassadenrichtungen in der Wohnung bzw. im Raum vorhanden sind. Die Querlüftung über mehrere Räume kommt nur in Betracht, wenn alle Bewohner gleichzeitig wach sind, was bereits morgens und abends nicht immer gegeben ist (Schulkinder, Schichtdienst etc.).
Konstruktive Parameter sind die Fensterabmessungen, der Öffnungswinkel des gekippten Fensters und die Fugenlänge des Fensters in Parallelabstellung sowie die Höhe der Lüftungszone über Terrain und die Berücksichtigung der Lage des Gebäudes (Rauheitsparameter). Außenklimatische Eingangsgrößen sind ebenfalls Außenlufttemperatur und Windgeschwindigkeit sowie die Raumlufttemperatur.
Der Volumenstrom durch die Fensteröffnung setzt sich aus einem thermisch induzierten und einem windinduzierten Anteil zusammen. Diffusionsvorgänge des Wasserdampfs werden im Anhang G nicht betrachtet. Diese wären auch noch bei Windstille und Temperaturgleichheit zwischen innen und außen vorhanden. Der thermisch induzierte und der windinduzierte Luftvolumenstrom werden vektoriell in einer Ebene addiert und als resultierender Volumenstrom der Betrag gebildet.
(4) zeigt den Außenluftvolumenstrom durch ein voll geöffnetes Fenster in Abhängigkeit von Außen- und Raumlufttemperatur sowie Windgeschwindigkeit. Mit zunehmender Außenlufttemperatur nimmt der thermisch induzierte Anteil des Volumenstroms so weit ab, dass beim Erreichen der Raumlufttemperatur nur noch der windinduzierte Anteil übrigbleibt.
Es ist auch zu erkennen, wie sich mit abnehmender Raumlufttemperatur der Volumenstrom verringert. Bei derart hohen Volumenströmen ist die anfängliche Raumlufttemperatur durch die Beheizung des Raumes nicht mehr zu halten. Üblicherweise ist auch der Heizkörper während der Fensteröffnung abgeschaltet. Das bedeutet, dass die Volumenstromberechnung ergänzt werden muss, da die treibende Temperaturdifferenz während des Stoßlüftens schnell abnimmt. Die sich einstellende Raumlufttemperatur ist jedoch nicht gleich der Außenlufttemperatur, sondern es wirken noch die konvektive Wärmeabgabe der Bauteile im Raum und sonstige konvektive Wärmequellen, wie die konvektive Wärmeabgabe des noch warmen Heizkörpers.
Unter der Annahme, dass die raumseitigen Oberflächentemperaturen aufgrund der Wärmeträgheit der Bauteile und die konvektiven Wärmequellen während einer relativ kurzen Stoßlüftungszeit konstant bleiben, kann man mit einem Ansatz, welcher Lüftungsheizlast und konvektive Wärmeabgabe gleichsetzt, 
die neue Raumlufttemperatur mit Gleichung 6 berechnen. 
Es wird hierbei davon ausgegangen, dass während eines Raumluftwechsels der Volumenstrom konstant bleibt. Der erste Volumenstrom wird mit der Raumlufttemperatur vor dem Fensteröffnen berechnet (16 oder 20 °C). Der nächste und die folgenden Luftwechsel schrittweise mit der Temperatur nach Gleichung 6, bis die vorgegebene Fensteröffnungsdauer erreicht wird. Bei jedem Luftwechsel wird der eindringende Volumenstrom mit der Luftwechseldauer gewichtet addiert und zum Schluss über die gesamte Öffnungsdauer gemittelt.
(5) gibt beispielhaft Auskunft über die Minderung des Volumenstroms durch das Absinken der Raumlufttemperatur während des Lüftens. Die mittlere raumseitige Oberflächentemperatur wird dabei gleich der anfänglichen Raumlufttemperatur gesetzt. Die Minderung wirkt sich nur auf den thermisch induzierten Anteil des Volumenstroms aus und beträgt bei Windstille ca. 20 %. Erhält der thermisch induzierte Anteil den Faktor 0,8, so beträgt die maximale Abweichung 6 % für den Bereich der Randbedingungen aus (5). Mit dieser Ergänzung werden die folgenden Berechnungen durchgeführt. Andernfalls müsste für die Anwendung der Gleichung 5 eine Iteration erfolgen, wobei die Anzahl der täglichen Fensteröffnungen noch festzulegen wäre.
Für den thermisch induzierten Luftvolumenstrom durch Fenster sind die Lufttemperaturen innen und außen maßgeblich. Auch die Luftdichte in Gleichung 1 müsste mit einer Lufttemperatur berechnet werden. Dagegen geht in Gleichung 2 eine Raumtemperatur ein, die sich aus einer Strahlungs- und Lufttemperatur zusammensetzt. Für dieses vereinfachte Verfahren wird jedoch kein Unterschied zwischen Luft- und Strahlungstemperatur gemacht.
![Bild 7: Häufigkeit von Temperatur und Feuchtegehalt im 5-Tagesmittel für Potsdam (extremer Winter) aus TRY04 [9] und Volumenstrom für Feuchteschutzlüftung mit Außenluft für vorkommende t,x-Kombinationen. Mit: 0,70 fRsi; 20 °C Innentemperatur; 1003 hPa Luftdruck; 83 g/h Wasserdampfzufuhr und Begrenzung des Volumenstroms auf minimal 0 und maximal 120 m3/h.](/sites/default/files/styles/aurora_default/public/aurora/2020/02/26431.jpeg?itok=Z-KJA5HH) 
 Bild: Nadler
für Feuchteschutzlüftung mit Außenluft für vorkommende t,x-Kombinationen. Mit: 0,70 fRsi; 20 °C Innentemperatur; 1003 hPa Luftdruck;
83 g/h Wasserdampfzufuhr und Begrenzung des Volumenstroms auf minimal 0 und maximal 120 m3/h.
 
 
 Zur Wahl des Außenklimazustands
Der Zuluftzustand ist frei wählbar, wodurch auch die Wärme- und Feuchterückgewinnung berücksichtigt werden kann. Für die Lüftung direkt mit Außenluft ist der Außenluftzustand maßgebend.
Ein grundsätzliches Problem bei der Feuchteschutzlüftung ist, dass sich Außentemperatur und Außenluftfeuchtegehalt gegenläufig beeinflussen. Einerseits sinkt der kritische Feuchtegehalt mit abnehmender Außentemperatur [5, Bild 1], wodurch nach Gleichung 1 bei gleichem Außenluftfeuchtegehalt der Volumenstrom ansteigen müsste. Andererseits ist ein geringerer Volumenstrom notwendig, wenn die Außenluft über xe trockener ist, was mit abnehmender Außentemperatur in der Regel einhergeht. In (3) lässt sich ablesen, dass der Außenluftfeuchtegehalt den größeren Einfluss auf den notwendigen Volumenstrom ausübt.
Das lässt sich auch (6) entnehmen. Hier ist der Volumenstrom für die Feuchteschutzlüftung über die Fläche der Nutzungseinheit für verschiedene relative Außenluftfeuchten aufgetragen. Die Feuchtelast ist DIN 1946-6 entnommen. Im Abschnitt 4.2.2 enthält diese Norm jetzt die Randbedingungen für die Lüftung zum Feuchteschutz. Bemerkenswert ist dabei nur, dass beim Volumenstrom zwischen geringer und hoher Belegung der Nutzungseinheit unterschieden wird, bei den Randbedingungen jedoch nicht. Zum Vergleich sind deshalb auch beide Volumenströme der DIN 1946-6 in (6) eingetragen.
Es ist zu erkennen, wie stark sich eine hohe Außenluftfeuchte bei wärmeren Außenlufttemperaturen auf den notwendigen Volumenstrom auswirkt. Die Volumenströme für die Feuchteschutzlüftung sind teilweise höher als jene für die Lüftung zum Feuchteschutz nach DIN 1946-6. Bei einer relativen Außenluftfeuchte von 80 % ist der Volumenstrom für die Feuchteschutzlüftung bei 15 °C Außentemperatur bis zu einer Fläche von 110 m2 sogar höher als die Lüftungsstufe Nennlüftung nach [2, Tabelle 7 bzw. Gleichung 8]. Wobei anzumerken ist, dass auch die Nennlüftung nach DIN 1946-6 unabhängig von der Belegung ist.
Die Lüftungskomponenten werden nach DIN 1946-6 jedoch nicht für die Lüftung zum Feuchteschutz ausgelegt. Sondern es findet ein Abzug der Infiltration statt, wodurch die tatsächlichen Volumenströme bedingt durch wechselnde äußere Winddruckverhältnisse unter die Lüftung zum Feuchteschutz nach [2, Tabelle 7 bzw. Gleichung 8] absinken werden. Das bedeutet, dass die Lüftung nach DIN 1946-6 bezüglich ihrer Anforderungen an die Volumenströme auch nicht immer kontinuierlich ist. Eine kontinuierliche Lüftung hat auch den Nachteil, dass unangenehme Gerüche von außen angesaugt werden können.
Für die Auslegung der Lüftung kommt es auf die Kombination von Außentemperatur und Außenluftfeuchtegehalt an, welche in (7) für Potsdam angegeben ist. Da es sich um ein stationäres Verfahren handelt und sich das Schimmelpilzkriterium auf 5 Tage bezieht, wird die t,x-Korrelation im 5-Tagesmittel berechnet. Eine Mittelung über mehrere Tage ist auch für die stationäre Berechnung der Transmission durch Bauteile notwendig [8].
In (7) sind im rechten Teil die notwendigen Volumenströme zur Feuchteschutzlüftung für die vorkommenden t,x-Kombinationen im linken Teil und für die angegebenen Randbedingungen berechnet. Es handelt sich um ein Wohnzimmer mit 2 Personen bei Anwesenheit von 16 h und ganztägig 16 g/h als weitere Feuchtequelle (Pflanzen und Sonstiges). Das ergibt eine mittlere Wasserdampfzufuhr von ca. 83 g/h.
Bei höheren Außentemperaturen sind auch hohe Außenluftfeuchtegehalte möglich, wodurch das Trocknungspotenzial gegen Null gehen kann und theoretisch ein unendlich hoher Volumenstrom notwendig wäre. Darum enthält die Tabelle Begrenzungswerte auch für den Fall, dass das Trocknungspotenzial negativ wird.
Die Erfahrung aus Zeiten hoher Gebäudeundichtigkeiten zeigt jedoch, dass der Feuchteschutz durchaus mit Außenluft sichergestellt werden kann, extrem hohe Volumenströme also nicht benötigt werden. Es ist deshalb sinnvoll, eine obere Grenztemperatur für die Dimensionierung des Volumenstroms festzulegen. Es bietet sich hierfür die Heizgrenztemperatur an, die in Deutschland je nach Wärmeschutz des Gebäudes bei 10 bis 15 °C liegt.
Durch die Begrenzung auf die Heizzeit ist auch Kenntnis über die Innentemperatur vorhanden, welche für die Gleichung 2 benötigt wird. Legt man beispielsweise 15 °C als Heizgrenztemperatur fest, so beträgt der maximal notwendige Volumenstrom für das Beispiel in (7) 40 m3/h. Dabei ist zu beachten, dass es sich bei x um Klassenwerte für Temperatur und Feuchte handelt. Für eine Auslegungsrechnung sollte ein TRY mit den Dezimalstellen durchlaufen werden. Als Maximalwert ergibt sich dabei 28 m3/h bei 13,9 °C und 8,1 g/kg.
Simulationsrechnungen haben gezeigt, dass der kritische Zeitraum, in dem der Volumenstrom am höchsten sein muss, in den Monaten September bis November liegt [5], also eventuell noch kurz vor Heizbeginn. Zur Ermittlung der sich einstellenden Innentemperatur ohne Heizbetrieb müsste man eine Jahressimulation durchführen, worauf bei diesem vereinfachten stationären Verfahren verzichtet wird.
Soll über Fenster gelüftet werden, ist die maximale Fensteröffnungsdauer nach Gleichung 3 mit der minimalen Fensteröffnungsdauer nach Gleichung 5 gemäß Gleichung 4 zu vergleichen. In (3) ist deshalb auch die 
minimale Fensteröffnungsdauer für ein bestimmtes Fenster für den Beispielraum aus (7) dargestellt. Der Auslegungsfeuchtegehalt ist mit 1 g/kg unterhalb des Sättigungsfeuchtegehaltes bei der jeweiligen Außentemperatur gewählt. 
Man entnimmt (8) für die Innentemperatur von 20 °C, dass der Volumenstrom durch Fensteröffnen im Bereich niedriger Außentemperaturen gerade noch ausreichend ist. Mit zunehmender Windgeschwindigkeit und abnehmender Außentemperatur strömt zwar mehr Volumenstrom in den Raum ein, aber gleichzeitig verringert sich der erforderliche Volumenstrom für die Feuchteschutzlüftung aufgrund der trockenen Außenluft derart, dass die Windgeschwindigkeit bei tiefen Außentemperaturen kaum noch einen Einfluss auf topen,min hat.
Wirksame Maßnahmen, um die minimale Fensteröffnungsdauer weiter zu verringern, sind baukonstruktive Änderungen. Dazu zählt der Einbau größerer oder weiterer Fenster – wobei sich besonders eine größere Fensterhöhe durch die zunehmende Auftriebswirkung im thermisch induzierten Anteil positiv auswirkt – sowie die Verbesserung des Wärmeschutzes an der ungünstigsten Wärmebrücke.
Festzuhalten ist, dass bei einer kontinuierlichen Lüftung die Heizgrenztemperatur als Grenztemperatur für die Auslegung anzusetzen ist, dagegen bei der diskontinuierlichen manuellen Fensterlüftung aufgrund der begrenzt zumutbaren Lüftungsdauer eine sehr niedrige Grenztemperatur. Um die vorkommenden t,x-Kombinationen des Klimastandortes zu erfassen, sollte die gesamte Heizzeit mit 5-Tagesmittelwerten für das Außenklima untersucht werden.
Der ungünstigste Außenklimazustand ergibt sich, wenn die Differenz topen,max – topen,min ihr Minimum erreicht. Für diesen Zustand empfiehlt es sich, den Tagesgang der Feuchte unter Berücksichtigung der Feuchtespeicherung zu analysieren. Liegt in diesem Zustand eine hohe Windgeschwindigkeit vor, sollte für ein Lüftungskonzept mit manueller Fensterlüftung auch die Möglichkeit einer geringeren Windgeschwindigkeit in die Analyse einbezogen werden.
(9) mit der Häufigkeitsverteilung der Windgeschwindigkeit in der Heizzeit gibt hierfür eine Hilfestellung. Es ist ersichtlich, dass im 5-Tagesmittel keine Windstille auftritt, als niedrigsten Wert könnte man darum 1,5 m/s für die Minimumsuche ansetzen. Die häufigsten Windgeschwindigkeiten liegen im Bereich von 3,5 bis 5,0 m/s.
 
 Bild: Nadler
 
 Bild: Nadler
Feuchtespeicherung und Fensterlüftung
Da Räume nicht dauerhaft der gleichen mittleren Feuchtelast unterliegen, insbesondere aufgrund der Abwesenheit von Personen, bewirkt die Adsorption und Desorption der Feuchte in der Raumluft und in den Bauteilen eine Dämpfung des Feuchteverlaufs (Feuchtepufferung).
Um diesen Sachverhalt zu untersuchen, wird ein vereinfachtes dynamisches Simulationsmodell auf ein zeitliches Feuchtelastprofil unter sonst konstanten Randbedingungen angewendet. In (10) ist der zeitliche Verlauf im eingeschwungenen Zustand eines Tages für zwei Feuchtespeichereffekte (rote und blaue Linie) dargestellt.
Die rote Linie gilt für den Fall, dass nur die Raumluft Feuchte speichern kann. Nach Kohonen et al. [10] und Hauser [11] kann man für die Feuchtespeicherung in normal verputzten Bauteilen die 10-fache Größe des Raumluftvolumens ansetzen. Darum wird dem Fall „Sorption nur in Raumluft“ der Faktor 1 und dem Fall „Sorption in Raumluft und Bauteilen“ der Faktor 10 für das Raumluftvolumen zugeordnet.
Die braun gestrichelte Linie zeigt den kritischen Feuchtegehalt, der gemäß Schimmelpilzkriterium nach [1] max. 12 h/d am Tag überschritten werden darf. Die grün gestrichelte Linie stellt den Feuchtegehalt für eine relative Luftfeuchte von 35 % dar und sollte nicht unterschritten werden, um eine Austrocknung der Schleimhäute zu vermeiden. 35 % sind ein Kompromiss aus den verschiedenen Normen und Studien zum Thema Austrocknung aufgrund zu trockener Luft. Empfehlenswert sind gemäß aktuellen Diskussionen aus gesundheitlichen Gründen jedoch 40 % als untere Grenze. Zwischen diesen beiden gestrichelten Linien sollte sich der Feuchtegehalt im Raum mindestens befinden, damit die Lüftung beide gesundheitlichen Aspekte berücksichtigt.
Zu trockene Raumluft erlangt eine besondere gesundheitliche Bedeutung, da Pilze und Viren sich an Schwebstoffteilchen, welche mit abnehmender relativer Luftfeuchte zunehmen, anheften und somit eine Luftübertragung auf den Menschen erleichtert wird. Deshalb muss bei der Auslegung der Lüftung eine zu trockene Luft durch hohe Volumenströme unterbunden werden, sofern dies im Verantwortungsbereich des Planers liegt.
Eine Verantwortung für den Planer / Ausführenden ergibt sich besonders dann, wenn es zur Beauftragung über den Einbau bzw. die Planung lüftungstechnischer Maßnahmen kommt. Für ein Lüftungskonzept mit manueller Fensterlüftung müsste die Hinweispflicht über zu trockene Luft genügen. Für die Regelung des Volumenstroms mit mehreren Sensoren kommt der Feuchte eine höhere Priorität als dem CO2-Gehalt zu. Bei einer gegenläufigen Anforderung zur Stellgröße Volumenstrom aus dem Feuchte- und dem CO2-Sensor sollte der Feuchtesensor Vorrang haben.
Für das oben genannte Beispiel wird ein Raum als Schlafzimmer mit einer Innentemperatur von 16 °C berechnet. Die Daten für das Fenster sind wie im (8) angegeben. Für eine Grenztemperatur von – 5 °C ermittelte sich der kritischste Außenklimazustand im Jahr, welcher in der Legende von (10) aufgeführt ist. Es ergab sich für diesen Zustand eine Windgeschwindigkeit von 5,1 m/s, die jedoch aus Sicherheitsgründen auf das Minimum aus (9) auf 1,5 m/s gesetzt wurde. Für eine Wasserdampfzufuhr von 23:00 bis 7:00 Uhr ist eine zweimalige Fensterlüftung mit je 10 min für den Feuchteschutz ausreichend, wenn genügend Feuchtespeicherung zur Verfügung steht (blaue Linie).
Kann nur die Raumluft die Feuchte speichern, dann ergeben sich große Ausschläge im Feuchteverlauf (rote Linie), die nach oben hin durch den Sättigungsfeuchtegehalt begrenzt sind. Bei genügender Fensteröffnungsdauer kann der Feuchtegehalt nach unten hin nur den Außenluftfeuchtegehalt von 1,6 g/kg am Ende der Fensterlüftung erreichen. Dadurch erklärt sich die maximale Bandbreite für den Feuchteverlauf. Die Überschreitungszeit über dem kritischen Feuchtegehalt beträgt hier etwas über 6 h. Berücksichtigt man auch die Bauteile als Feuchtespeicher, wird der kritische Feuchtegehalt nicht überschritten.
 
 Bild: Nadler
(10) zeigt auch beispielhaft, wie sich der zulässige Bereich erweitert, wenn statt fRsi = 0,70 durch bessere Wärmedämmung ein Wert von fRsi = 0,95 vorliegt. In diesem Fall verringert sich die Überschreitungszeit für geringe Feuchtespeicherfähigkeit auf 4,9 h. Auch für mechanische Lüftungsanlagen ist ein größerer Regelbereich von Vorteil.
Daraus ergibt sich die Anforderung, dass für die diskontinuierliche Fensterlüftung genügend Feuchtespeicher im Raum durch Bauteile (Art des Putzes, Beläge) und Möblierung vorhanden sein sollte. Außerdem müssen die Lüftungszeitpunkte am Tag dem Feuchtelastverlauf sinnvoll angepasst sein. Die Lüftung um 23:00 Uhr hat hier rechnerisch nur eine geringe Auswirkung.
Ein weiterer Aspekt ist die sich einstellende CO2-Konzentration im Raum (schwarze Linie), was für den Feuchtegehalt zwar nicht von Belang ist, aber bei sehr hohen Werten ein häufigeres Stoßlüften bzw. im Schlafzimmer eine längere Kipplüftung erwarten lassen. Am Ende der Schlafenszeit um 7:00 Uhr ist der CO2-Gehalt auf 9677 ppm bei der Nutzung des Raumes nach (10) angestiegen.
Eine Kipplüftung mit 9 cm obere Öffnungsweite während der Schlafenszeit wäre mit einem Volumenstrom von 72 m3/h ausreichend, um einen konstanten CO2-Gehalt von 1000 ppm aufrechtzuerhalten. Die relative Raumluftfeuchte sinkt dabei jedoch auf ca. 24 % ab, was gemäß dem oben genannten Grenzkriterium zu trocken ist. Ein optimaler Zustand ist für diesen Raum nicht erreichbar.
Mit einer Kippstellung von 3 bis 4 cm obere Öffnungsweite ergibt sich ein Volumenstrom von 30 m3/h, eine relative Raumluftfeuchte von ca. 37 % bzw. 4,1 g/kg und ein CO2-Gehalt von 1847 ppm. Aus gesundheitlicher Sicht sind damit die Grenzen abgesteckt, in denen der Mieter eine Anpassung vornehmen kann, sofern das Fenster mehrere Kippstellungen zulässt. Das gilt auch für eine raumweise Regelung mittels mechanischer Fensteröffnung oder Lüftungsanlage.
Ein Wohnzimmer mit 20 °C Innentemperatur und 58,47 m3 Raumvolumen weist bei der Grenztemperatur von – 5 °C den kritischsten Außenklimazustand im Jahr auf, der in (11) angegeben ist. Hier wurde ebenfalls die Windgeschwindigkeit auf 1,5 m/s reduziert. Zur Feuchtelast für 2 Personen von 7:00 bis 23:00 Uhr addieren sich noch ganztägig 16 g/h für Pflanzen und Sonstiges. Mit dem kleinen Fenster aus (8) ist eine ausreichende Fensterlüftung nicht möglich. Deshalb wird in diesem Beispiel das Balkonfenster mit den Abmessungen aus (11) für die händische Fensteröffnung angesetzt.
 
 Bild: Nadler
116 g/h Wasserdampfzufuhr von 7:00 bis 23:00 Uhr, sonst 16 g/h; 1022 hPa Luftdruck; 58,47 m3 Raumvolumen; 1,5 m/s Windgeschwindigkeit; 20 °C Innentemperatur; 2,74 m Höhe der Lüftungszone; 1,10 m lichte Fensterbreite; 1,83 m lichte Fensterhöhe und 0,25 m Rauheitsparameter.
Auch hier ergibt sich, dass die zweimalige Fensterlüftung für den Feuchteschutz ausreichend ist, wenn genügend Feuchtespeicher vorhanden ist und wenn der Lüftungszeitpunkt richtig gewählt wird. Um 18:00 Uhr erreicht der CO2-Gehalt mit 8893 ppm sein Maximum. Es ist darum anzunehmen, dass vorher schon mehrmals gelüftet wird oder dass durch andere Ereignisse, z. B. zeitweiliges Verlassen des Raumes, die Geruchsentwicklung weniger stark ausfällt. Für den rechnerischen Nachweis, dass die Fensterlüftung zur Feuchteabfuhr ausreicht, muss man jedoch von zwei- bis dreimaliger manueller Betätigung ausgehen.
(12) stellt die Über- und Unterschreitungszeiten der Grenzlinien in (11) zusammen. Speichert nur die Raumluft Feuchte, übersteigt die Überschreitungszeit des kritischen Feuchtegehaltes den zulässigen Wert von 720 min. Damit dieser Grenzwert nicht überschritten wird, müsste der fRsi-Wert minimal 0,924 betragen, um für beide Feuchtespeicherfälle das Schimmelpilzkriterium zu erfüllen. Rechnet man eine Infiltration ein, so müsste diese einen Luftwechsel von 0,105 h–1 aufweisen, wobei dann nur zweimal 5 min Fensterlüftung empfohlen wird, damit eine zu trockene Raumluft nicht lange anhält.
Die Unterschreitung der Grenzlinie für „zu trocken“ ist dem großen Volumenstrom durch das Fensteröffnen geschuldet. Das lässt sich im Winter mit sehr trockener Außenluft und manueller Fensterlüftung nicht verhindern.
Beide Feuchtespeicherfälle werden auch erfüllt, wenn ohne Verbesserung der Wärmedämmung und Einrechnung einer Infiltration das Raumvolumen doppelt so groß wäre. Die neuartigen Grundrisskonstellationen, in denen die Bereiche Wohnen, Essen, Küche und Flur im Raumluftverbund ohne Innentüren zusammengelegt sind, sind deshalb hinsichtlich des Feuchteschutzes vorteilhaft. Das Gleiche gilt, wenn die Feuchtespeicherfähigkeit von Raumluft mit Bauteilen mindestens so groß ist, wie das zweifache Raumluftvolumen speichern kann (Faktor 2, siehe unten).
 
 Bild: Nadler
 
 Bild: Nadler
Anrechnung der Fensterlüftung
Findet in dem genannten Wohnzimmer freies Wäschetrocknen statt, ist die manuelle Fensterlüftung auch mit der Feuchtespeicherung in Bauteilen nicht mehr ausreichend. Nach DIN SPEC 4108-8 wird hierfür der Raum ganztägig mit zusätzlich 52 g/h Wasserdampf belastet.
Bei einer mechanischen Lüftungsanlage stellt sich die Frage, wie die zweifache manuelle Fensterlüftung zur Dimensionierung des Volumenstroms angerechnet werden kann. Hierzu sind in (13) einige Berechnungsvarianten aufgeführt. Erläuterung zu den Varianten:
Varaiante 1: DIN 1946-6 gibt für die freie Lüftung einen durchlaufenden (min = max) Volumenstrom von 10 m3/h an. Man entnimmt ,(13) dass diese Vorgabe für beide Feuchtespeicherfälle (Faktor 1 und 10) bei Weitem nicht ausreichend ist. Der kritische Feuchtegehalt wird ganztägig überschritten (in (13) rot markiert). Dabei ist anzumerken, dass die „Lüftung zum Feuchteschutz“ nach DIN 1946-6 [2, Tabelle 7 und 11] den Luftvolumenstrom für freies Wäschetrocknen nicht beinhaltet. Aber auch ohne Wäschetrocknen reichen 10 m3/h im 24-Stundenbetrieb für die 16-stündige Belegung des Wohnzimmers nicht aus.
Variante 2: Die mittlere Wasserdampfzufuhr in den Raum beträgt 135 g/h. Nach Gleichung 1 ergibt sich ein notwendiger Außenluftvolumenstrom von 20 m3/h. Für den Fall Faktor 1 ist das auch nicht ausreichend.
Variante 3: Die maximale Wasserdampfzufuhr von 168 g/h dauert 16 h an. Damit der kritische Feuchtegehalt in keinem Fall 24 h/d überschritten wird, müsste der Volumenstrom für die Feuchteschutzlüftung nach Gleichung 1 für diese maximale Feuchtelast ausgelegt werden. Dabei ergeben sich 25 m3/h. Die Unterschreitungszeit für zu trockene Luft ist im Fall Faktor 1 jedoch sehr hoch. Ebenso der Energiebedarf für die Lufterwärmung in beiden Fällen.
Variante 4: Hier kommt die Fensterlüftung ohne zusätzlichen Volumenstrom durch eine mechanische Lüftungsanlage zum Einsatz. Ohne Feuchtespeicherung in den Bauteilen besteht dabei die Gefahr der Schimmelpilzbildung. Der kritische Feuchtegehalt wird um 1170 min/d überschritten. Der Energiebedarf für die Lufterwärmung ist mit 0 Wh gekennzeichnet, da angenommen wird, dass während der Fensterlüftungszeit die Heizung abgestellt wird. Auch ein Wiederaufheizen nach der Fensterlüftung ist in der Spalte „Lufterwärmung“ nicht berücksichtigt. Ebenso geht bei dieser Betrachtung nicht ein, dass ein Abschalten einer Fußbodenheizung während der Fensterlüftung nichts an Energieeinsparung bringt.
Variante 5: Soll für die Dimensionierung einer mechanischen Lüftungsanlage die Fensterlüftung angerechnet werden, so müsste diese im Fall Faktor 1 mit 14 m3/h und im Fall Faktor 10 mit 4 m3/h ausgelegt werden. Die mechanische Lüftungsanlage läuft in diesen Varianten 24 h abzüglich der Fensterlüftungszeit am Tag. Die Reduzierung des notwendigen Volumenstroms für die Lüftungsanlage geht gegenüber der Variante 3 in etwa einher mit dem Bedarf für die Lufterwärmung und beträgt im Fall Faktor 1 ca. 40 % und im Fall Faktor 10 ca. 84 %.
Variante 6: Um die Unterschreitungszeit für zu trockene Luft zu verringern, wird das kleine Fenster zur Fensterlüftung genutzt. Erwartungsgemäß steigen dadurch der notwendige Auslegungsvolumenstrom für die Anlage und der Bedarf für die Lufterwärmung an.
Variante 7: Ab dieser Variante wird die Lüftungsanlage mittels Proportionalregler im Bereich xtro bis xkrit raumweise geregelt. Die Regelung kann die Anlage bis auf 0 m3/h herunterfahren (siehe Spalte „min“). Für den Volumenstrom in der Spalte „max“ muss die Anlage ausgelegt werden. Sobald Fensterlüftung erfolgt, schaltet die Anlage ab. Diese Variante ergibt von den zulässigen Varianten den geringsten Energiebedarf und kommt mit relativ geringen Auslegungsvolumenströmen aus.
Variante 8: Eine Verringerung der Unterschreitungszeit für zu trockene Luft bis auf 0 min/d mit dem kleinen Fenster ist nur bei dem Fall Faktor 10 zu erzielen. Gegenüber der Variante 7 erhöht der hierfür notwendige Auslegungsvolumenstrom aber deutlich den Energiebedarf.
Variante 9: Zum Vergleich mit der Variante 3 ist hier das Simulationsergebnis mit Regelung und ohne Fensterlüftung aufgeführt. In beiden Feuchtespeicherfällen ist keine Über- oder Unterschreitungszeit vorhanden und der Raumenergiebedarf reduziert sich auf ca. 85 %.
 (14)enthält für die Variante 7 den täglichen Feuchteverlauf, der gerade noch ausreichend wäre. Aus den Varianten ist zu entnehmen, dass die Anrechnung der Fensterlüftung für die Dimensionierung einer mechanischen Lüftungsanlage fallweise nur durch Simulation des Feuchteverlaufes genau bestimmbar ist. Auch bei Lüftung nur mit mechanischer Lüftungsanlage im kontinuierlichen Betrieb sowie Auslegung auf Basis einer mittleren Feuchtelast sollte der Feuchteverlauf kontrolliert werden, wie die Variante 2 zeigt.
Neben der Feuchtespeicherfähigkeit ist auch noch zu unterscheiden, ob die Lüftungsanlage raumweise geregelt wird oder ungeregelt durchläuft. In [4, Bild 11 und 12] wird gezeigt, dass man durch Reduzierung des Volumenstroms aufgrund Verringerung der Feuchtelast eine geringere Unterschreitungszeit erreichen kann.
Einschätzung der Feuchtespeicherfähigkeit eines Raums
Die obigen Beispielrechnungen haben gezeigt, dass durch die Feuchtespeicherfähigkeit des Raums ein weiterer Parameter für das Lüftungskonzept gegeben ist, der nicht zu vernachlässigen ist. Für die Planungspraxis sollte deshalb neben der Möglichkeit einer hygrothermischen Simulation, beispielsweise mittels WUFI Pro oder Delphin, auch eine einfache Einschätzung der Feuchtespeicherfähigkeit gegeben sein. Für die Genauigkeit einer solchen Einschätzung ist zu beachten, dass die Möblierung auch speicherfähig ist und dass der Einfluss der Möblierung nur geschätzt werden kann.
Geht man davon aus, dass der gesamten Raumumschließungsfläche der Faktor 10 zugeordnet wird, so erhält man unter Berücksichtigung von Raumflächen, die nicht feuchtespeicherfähig sind, den Faktor gemäß Gleichung 7. Zu Raumflächen, die nicht feuchtespeicherfähig sind, zählen geflieste Flächen und diffusionsdichte Anstriche. Für ein würfelförmiges Bad mit den Kantenlängen 2,5 m, in dem nur die Decke nicht gefliest ist, ergibt sich der Faktor 2,5.
 
 Bild: Nadler
58,47 m3 Raumvolumen; 1,5 m/s Windgeschwindigkeit; 20 °C Innentemperatur; 2,74 m Höhe der Lüftungszone; 1,10 m lichte Fensterbreite; 1,83 m lichte Fensterhöhe und 0,25 m Rauheitsparameter.
 
 
 Auslegungsbeispiel
In DIN SPEC 4108-8 Anhang H ist ein Beispiel vorhanden, welches hier in etwas abgeänderter Form mit dem Programm VolFeu [12] nachgerechnet wird. Es handelt sich um eine Wohnung in einem Mehrfamilienhaus. Sie wird von 3 Personen bewohnt und hat eine Nettofläche von 77,1 m2. Die Änderungen gegenüber dem Normbeispiel sind im VolFeu-Paket genauer beschrieben.
Für die Suche nach dem ungünstigsten Außenklimazustand bei Fensterlüftung wurde eine obere Grenztemperatur von – 5 °C angesetzt, da man bei höheren Außentemperaturen (im Normbeispiel 13 °C) von einer längeren (üblichen) Fensterlüftungszeit ausgehen kann. Nur dadurch ist ein Vergleich mit der gerichtlich festgelegten zumutbaren Fensterlüftungszeit sinnvoll. Das Programm ermittelt den ungünstigsten Außenklimazustand im TRY04 Potsdam (extremer Winter) für die Räume mit Fensterlüftung am 11.01. mit – 9,7 °C und 1,7 g/kg. Als minimale Windgeschwindigkeit (Worst Case) ergibt sich 1,4 m/s (16) .
Der notwendige Volumenstrom für die Feuchteschutzlüftung VolFL nach Gleichung 1 beträgt für das Wohnzimmer 23 m3/h. Die minimal notwendige Fensteröffnungszeit 13 min/d. Für die Simulation wurde ein Zeitprofil für den Fensterbetrieb von 12:00 bis 12:10 Uhr und von 23:00 bis 23:05 Uhr, also insgesamt 15 min vorgegeben. Die Überschreitungszeit von 372 min liegt unter der zulässigen von 720 min. Für eine zulässige Unterschreitungszeit für zu trockene Luft gibt es derzeit kein Kriterium. In diesem Fall ist sie für eine minimale relative Luftfeuchte von 40 % jedoch mit 645 min/d sehr hoch und sollte zu einem Hinweis führen.
Im Vergleich zur DIN 1946-6 wären für die Lüftung zum Feuchteschutz in Wohnen, Schlafen, Kind jeweils 10 m3/h und in Bad, Küche und Abstellraum jeweils 8 m3/h, also insgesamt 54 m3/h für die Nutzeinheit notwendig. Der Raum Wohnen wäre demnach unterdimensioniert.
Für den innenliegenden Flur wurde angenommen, dass er an ein unbeheiztes Treppenhaus mit 16 °C grenzt. Hierfür ist nur ein geringer VolFL von 2 m3/h notwendig, für den ein Luftaustausch über Türöffnen und Personenverkehr ausreichend sein dürfte.
Für das Bad ist eine Fensterbetriebszeit von 7:50 bis 7:55 Uhr gewählt, die aber über der minimal notwendigen Fensteröffnungszeit von 4 min/d liegt. Durch die Simulation zeigt sich, dass diese einmalige Fensteröffnung nicht ausreichend ist, um die zulässige Überschreitungszeit einzuhalten. Eine grafische Darstellung des Zeitverlaufs für den absoluten Feuchtegehalt ist in VolFeu [12] aufrufbar.
 
 Bild: Nadler
Fazit
Ein Lüftungskonzept mit manueller Fensterlüftung ist wegen der Vergleichsmöglichkeit mit der gerichtlich festgelegten zumutbaren Fensterlüftungszeit für einen sehr kalten Außenklimazustand zu erstellen. Dagegen ist für die Auslegung einer kontinuierlich betriebenen Lüftung über ALD oder Lüftungsanlage ein relativ warmer Außenklimazustand zu wählen. In diesem ist der notwendige Volumenstrom für die Feuchteschutzlüftung aufgrund des hohen Außenluftfeuchtegehalts am höchsten.
Mit der Festlegung einer Grenztemperatur, beispielsweise – 5 °C für die manuelle Fensterlüftung und Heizgrenztemperatur für die kontinuierliche Lüftung, sollte der ungünstigste Außenklimazustand in TRY-Daten gesucht werden. Als ungünstig gilt für die manuelle Fensterlüftung das Minimum von topen,max – topen,min und für die kontinuierliche Lüftung der maximale notwendige Volumenstrom qv,FL. Durch die Verwendung von TRY-Daten ist auch die Untersuchung zukünftiger Außenluftfeuchteverhältnisse möglich.
Auf den Volumenstrom durch geöffnete Fenster hat die Windgeschwindigkeit einen großen Einfluss. Um auch hier auf der sicheren Seite zu liegen, sollte sie so gewählt werden, dass der geringste Wert im 5-Tagesmittel der TRY-Daten gesucht wird. Dies gilt auch für die Berechnung der Infiltration.
Weitere Randbedingungen für die ausreichende manuelle Fensterlüftung sind eine genügend hohe Feuchtespeicherfähigkeit der Bauteile und Einrichtungen sowie geeignete Lüftungszeitpunkte. Um eine 
schnelle Auslegung für Standardsituationen zu erreichen, wären hier von einer Norm vorgegebene Zeitprofile für Feuchtelast und Fensterlüftung in verschiedenen Raumnutzungen vorteilhaft. 
Trotz dieser extremen Randbedingungen wird in einem Beispiel gezeigt, dass manuelle 2- bis 3-malige Fensterlüftung für die Feuchteabfuhr ausreichend sein kann. Ansonsten hätten die Gerichte diesen Lüftungsbetrieb auch als unzureichend eingestuft. 
Ein weiteres Indiz für eine ausreichende Lüftung ohne Lüftungsanlage ist die geringe lüftungsbedingte Quote für Schimmelpilzschäden in Höhe von 5 bis 6 % [13]. Der Einbau von Lüftungsanlagen hat daran nichts geändert. Die Nachströmung für die Entlüftung fensterloser Bäder muss nicht über die Zulufträume erfolgen. Hierfür ist auch eine direkte Zuluftleitung zum Bad möglich (siehe [14] und neue DIN 18 017-3). 
Ist die Fensterlüftung nicht ausreichend, also die minimale Fensteröffnungszeit so hoch, dass sie nicht mehr zumutbar ist, sind lüftungstechnische Einrichtungen zu planen. Hierzu zählen auch mechanisch betriebene und geregelte Fensterlüftungen. Die Einzelraumregelung, welche mit Einzelraumgeräten oder mit Volumenstromreglern ausgestatteten zentralen Geräten möglich ist, hat den Vorteil, dass nur in den Räumen eine Lüftungsheizlast anfällt, für die auch ein Bedarf vorliegt.
Der Bedarf sollte sich in erster Linie nach der Feuchte richten, denn hier ergeben sich schon Volumenströme, die zu einer zu trockenen Luft führen können. Dieses Risiko erhöht sich, wenn für die Frischlufterneuerung ausgelegt (beispielsweise nach Nennlüftung) und geregelt wird. Das ursprüngliche Erfordernis für eine lüftungstechnische Maßnahme ist in DIN 1946-6 die Einhaltung einer Lüftung zum Feuchteschutz. Dabei sollte man auch bei einer ventilatorgestützten Lüftung bleiben, wenn nicht andere Erfordernisse vorliegen, wie Schallschutz, Außenluftschadstoffe oder erhöhte Nachtlüftung an heißen Sommertagen. In diesen Fällen sollten weitere Maßnahmen zur Verhinderung von zu trockener Luft, auch regelungstechnischer Art, in die Planung einbezogen werden.
Die Algorithmen in DIN SPEC 4108-8 Anhang H ermöglichen es, die Anforderung in der DIN 1946-6 [2, Tabelle 16, Fußnote f] zu erfüllen. Danach sind Räume mit erhöhten Feuchtelasten gesondert zu behandeln.
Neben der Stoßlüftung ist auch eine länger anhaltende manuelle Kipplüftung mit Fenster zu empfehlen, die eine variable einstellbare Fugenfläche ermöglicht. DIN SPEC 4108-8 bietet hierfür die notwendigen Algorithmen an. Damit nicht zu lange gelüftet wird, wäre ein Alarmsystem zeitgesteuert oder mit Sensorsignalen von Vorteil.
 
     
     
  
  
     
     
     
     
    