Springe auf Hauptinhalt Springe auf Hauptmenü Springe auf SiteSearch
Neue WRG-Bewertung nach EN 13053

Effizienz der Wärmerückgewinnung

Um Wärmerückgewinnungssysteme (WRG) zu betreiben, müssen elektrische Hilfsenergien aufgewendet werden. Der erhaltene Nutzen in Form von thermischen Energien im Verhältnis zu den benötigten Hilfsenergien wird unterschiedlich bewertet. DIN EN 13053 [1] und auch die Richtlinie VDI 3803 [2] definieren neben den Mindestrückwärmzahlen die maximalen Druckverluste auf der Luftseite der WRG bei einem ausgeglichenen Massenstromverhältnis. Diese Festlegung hat allerdings in der Vergangenheit häufig zu Diskussionen darüber geführt, wie der energetische Nutzen der Wärmerückgewinnung im Verhältnis zum energetischen Aufwand für Hilfsenergien zu bewerten ist.

Aus diesem Grund wurde auf europäischer Ebene nach einer sinnvollen Lösung gesucht, bei der mithilfe von Kennzahlen der thermische Nutzen und der elektrische Aufwand in ein vergleichbares Verhältnis zueinander gesetzt werden. Als Ergebnis wurde nun auf europäischer Ebene eine Ergänzung (Amendment) zur DIN EN 13053 initiiert, die sowohl normative als auch informative Festlegungen zur Wärmerückgewinnung enthält und kombinierte Kennzahlen als Gütekriterium zur Beschreibung der Qualität von Wärmerückgewinnungseinrichtungen in Klassen angibt.

Bewertung der WRG

Die Güte eines Wärmerückgewinnungs­systems wird maßgeblich durch den Temperaturänderungsgrad, auch als Rückwärmzahl (Φ) bezeichnet, bestimmt. Bei einer möglichen Feuchteübertragung kann die Effizienz einer ­Wärmerückgewinnung auch durch den Enthalpieübertragungsgrad oder die Kombination aus ­Temperaturänderungs- und Feuchteänderungsgrad (Ψ) beschrieben werden.

Der Temperaturübertragungsgrad gibt das Verhältnis der möglichen Temperaturänderung einer WRG-Einrichtung zur maximal möglichen Temperaturänderung, also beispielsweise dem Temperaturpotenzial zwischen Außen- und Fortluft, an. Er stellt somit einen thermischen „Wirkungsgrad“ dar und ergibt sich aus der Wärmebilanz:


WRG Leistung der WRG [kW]

P maximal mögliche Leistung aufgrund des Temperaturpotenzials [kW]

wobei:


oder:


mit:

mˆ Massenstrom der Luft [kg / s]

c pL spezifische Wärmekapazität der Luft [kJ / (kg K)]

ϑ Temperatur der Luft [°C]

h Enthalpie der Luft [kJ / kg]

Die maximal mögliche Leistung wird durch das Temperaturpotenzial, also die Temperaturdifferenz zwischen Abluft (ϑ 1 ') und Außenluft (ϑ 2 '), gebildet (Bild 1). Damit ergibt sich aus


der Temperaturänderungsgrad:


Bei einer möglichen Feuchteübertragung ­ergibt sich der Feuchteänderungsgrad analog aus:


wobei:

x absolute Luftfeuchte der Luft [g / kg]

Hierbei ist allerdings zu beachten, dass der Feuchteübertragungsgrad der WRG im Gegensatz zum Temperaturübertragungsgrad nicht konstant ist und stark von der Feuchtedifferenz zwischen den beiden Luftströmen abhängig ist. Dieses ­Potenzial κ wird errechnet aus [3]


wobei:

x 2S Sättigungsfeuchte der Kaltluft x 2 '

Bei sorptiven Wärmeübertragern ist das Potenzial zusätzlich noch von der Temperaturdifferenz der beiden Luftströme abhängig. Zusammengefasst kann damit der Enthalpieübertragungsgrad hergeleitet werden mit:


wobei:


mit:

c pL spezifische Wärmekapazität der trockenen Luft [kJ / (kg K)]

ϑ Temperatur [°C]

c pD spezifische Wärmekapazität des Wasserdampfs [kJ / (kg K)]

r 0 Verdampfungswärme von Wasser [kJ/(kg K)]

Da unter trockenen Bedingungen mit Δx=0 ist, kalkuliert sich die Enthalpie dann aus:


Unter dieser Voraussetzung ist der Tempe­raturänderungsgrad φ t gleich dem Enthalpie­änderungsgrad φ h . Die Änderungsgrade werden gemäß DIN EN 308 [4] nur auf der Zuluftseite ­definiert, um Verwechslungen zu vermeiden. ­Physikalisch wäre aber auch die Definition der Änderungsgrade in Bezug auf die Fortluft ­möglich.

Weil in der überwiegenden Zeit der WRGNutzung eine Kondensation auf der Abluftseite ausgeschlossen werden kann und damit eine mögliche Feuchteübertragung energetisch von geringer Bedeutung ist, ist die Angabe des Tem­peraturänderungsgrads unter trockenen Bedingungen unabdingbar.

In der geringen Zeit mit Kondensation auf der Abluftseite steigt zwar der Übertragungsgrad durch den verbesserten Wärmeübergang und die günstigeren Temperaturunterschiede (bedingt durch den latenten Enthalpieanteil) deutlich – aber wegen der geringen Häufigkeit (Stundenanzahl) dieser Zustände hat dies kaum einen Einfluss auf die Wirtschaftlichkeit der WRG (siehe Wirtschaftlichkeitsberechnung).

Neben dem Temperaturänderungsgrad wird die Effizienz der WRG auch durch die Druckverluste auf den Medienseiten bestimmt. Deshalb spielen die medienseitigen Widerstände der Wärmerückgewinnung eine große Rolle.

Bewertung der Hilfsenergien

Die Druckverluste der WRG bestimmen die Hilfsenergien, die zu ihrem Betrieb zwingend ­notwendig sind. Diese Hilfsenergien werden im Wesentlichen durch die elektrischen Antriebe (Ventilatoren und weitere Verbraucher, z.B. Pumpen) bestimmt. Die erforderlichen elektrischen Leistungen errechnen sich dabei aus:


mit:

P el elektrische Leistung [KW]

Vˆ Volumenstrom bei Normdichte [m 3 /s]

Δp WRG Differenzdruck der WRG [Pa]

η Gesamtwirkungsgrad des Antriebs (z.B. Ventilatoren) [–]

P aux. weitere benötigte elektrische Hilfsleistung [kW]

Hierauf greift auch die geplante Ergänzung zur EN 13053 zurück. Da aber zum Zeitpunkt der WRG-Festlegungen der Wirkungsgrad des Antriebssystems noch nicht festliegt – oder vielmehr beim Vergleich von WRG-Systemen dieser Wirkungsgrad keine Rolle spielen darf – wurde der Gesamtwirkungsgrad des Antriebs normativ mit 0,6 festgelegt.

Die elektrischen Leistungen, die zum Betrieb der WRG notwendig sind, können auch durch eine Leistungsziffer ε (COP = coefficient of performance), also das Verhältnis der thermischen Leistung zur elektrischen Leistung, beschrieben werden:


Gute WRG-Systeme erreichen Leistungsziffern von 10 bis 30, weshalb beispielsweise das Erneuerbare-Energien-Wärmegesetz (EEWärmeG) auch eine Leistungsziffer von mindestens 10 bei einem Übertragungsgrad von mindestens 70 % vorschreibt, wenn die WRG als Ersatzmaßnahme ­anerkannt werden soll.

Allerdings sagt die Leistungsziffer alleine wenig aus, denn im Prinzip gilt bis zu einem gewissen Grad: Je geringer der Wirkungsgrad der WRG, desto größer deren Leistungsziffer, da physikalisch die benötigte Hilfsenergie der WRG überproportional zur ihrer gewonnenen thermischen Leistung wächst. Dies erkennt man auch an den Berechnungen zu geplanten normativen Festlegungen in EN 13053 (siehe Tabelle 1). Aus diesem Grund kann die Leistungsziffer nur in Kombination mit den originären Kennzahlen zur Beurteilung von WRG-Systemen herangezogen werden. Daher wird die Leistungsziffer im Amendment zu EN 13053 nur als Hilfsgröße zur Berechnung des energetischen Wirkungsgrads verwendet.

WRG-Systeme können nicht nur durch den thermischen Übertragungsgrad und die benötigten elektrischen Leistungen beschrieben werden. Es besteht auch die Möglichkeit, weitere Größen zu definieren, die sich entweder auf die Leistungen der WRG beziehen oder aber auf Arbeiten (Energiemengen), die am sinnvollsten auf der Basis von Jahresbetrachtungen kalkuliert werden.

Wirkungsgrad

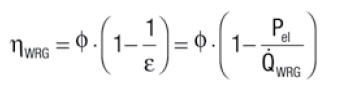
Da Hilfsenergien zum Betrieb der WRG zwingend erforderlich sind, kann der energetische ­Wirkungsgrad der WRG aus den thermischen und den elektrischen Leistungen hergeleitet werden. Würde keine Hilfsenergie zum Betrieb der WRG benötigt werden, wäre der Temperaturübertragungsgrad gleich dem Wirkungsgrad der WRG. Er stellt also eine zusammengesetzte Größe aus dem Temperaturübertragungsgrad (φ) und der Leistungsziffer (ε) dar:


Der sehr unterschiedlichen Güte der Primär­energien für die beiden Leistungen Qˆ WRG und P el kann durch die Einführung eines Primärenergie-Wertungsfaktors Rechnung getragen werden:


mit:

f Primärenergie-Wertungsfaktor

und damit:


bei f = 1, also einer rein energetischen Bewertung ohne Einfluss des Primärenergie-Wertungsfaktors, gilt dann:


Mit der Berücksichtigung eines Wertungsfaktors wird deutlich, dass der damit ermittelte Wirkungsgrad zur Beschreibung einer WRG durchaus als umstritten angesehen werden kann, da er Diskussionsspielräume für die Größenordnung der Primärenergieunterschiede und damit des Wertungsfaktors lässt.

Hinzu kommt, dass der mit Leistungen berechnete Wirkungsgrad sich auf eine Temperaturdifferenz zum jeweiligen Außenluftzustand beziehen muss und sich damit Qˆ WRG deutlich ändert, während die elektrischen Leistungen der Hilfs­energien über das Jahr relativ konstant sind.

Aus diesem Grund hat man sich auf euro­päischer Ebene dazu entschlossen, den Primär­energiefaktor nicht in den Leistungskennzahlen zu berücksichtigen, da dies reiner Willkür gleichkäme, zumal die Kennzahl bereits durch den Temperaturbezugspunkt beliebig zu beeinflussen ist. Der große Vorteil dieses kombinierten Werts (η) ist aber die Berücksichtigung des gegen­seitigen Einflusses der thermischen und elektrischen Leistungen (φ und ε) in nur einer einzigen Kennzahl.

Neue Anforderungen nach EN 13053

Die geplanten Ergänzungen zur EN 13053 berechnen sich aus den Leistungsdaten von EN 308. Da Hersteller ihre WRG-Systeme nach EN 308 prüfen lassen und damit die Leistungsdaten verifiziert vorliegen, wurde beschlossen, die Leistungsdaten (thermische Leistungen und Druckverluste) nach EN 308 zur Berechnung des energetischen Wirkungsgrads festzulegen. Damit liegen als Eckparameter die Außenlufttemperatur mit +5 °C und die Ablufttemperatur mit +25 °C als Bezugstemperaturen fest, die als Prüfparameter auch in EN 308 verwandt werden. Die kombinierten Kennzahlen gelten allerdings nur für diesen Betriebszustand und dürfen nicht direkt auf andere Betriebszustände übertragen werden. Sie sind dann für andere Temperaturen aus den originären Kennzahlen (Φ und ε) neu zu berechnen.

Tabelle 1 definiert die neuen WRG-Klassen in Abhängigkeit des energetischen Wirkungsgrads nach EN 13053 bei ausgeglichenen Massen­strömen. Die Tabellenwerte gelten für ein aus­geglichenes Massenstromverhältnis von 1:1, also mˆ 1 / mˆ 2 = 1 und basiert auf proportionalen NTU-Schritten 1) von jeweils 50 % steigender WRGFläche zur nächst höheren Klasse.

Ein WRG-Hersteller hat deshalb nicht nur den neuen energetischen Wirkungsgrad anzugeben, sondern auch die originären Daten, also den thermischen Übertragungsgrad und die Druckverluste der WRG. Die Einteilung in die WRG-Klassen erfolgt jedoch nach dem energetischen Wirkungsgrad, wobei der Hersteller nun mehr Freiheitsgrade bei der Wahl der WRG hat.

Will er die Klasse H1 erreichen, kann er das mit beispielsweise 75 % Übertragungsgrad bei 2 × 280 Pa erreichen, oder er wählt eine WRG mit beispielsweise 72 % Übertragungsgrad mit 2 × 150 Pa. Im Ergebnis erreicht er mit beiden Alternativen einen energetischen Wirkungsgrad von 71 % und damit die Klasse H1.

Umrechnung von Φ t1 zu Φ tats.

Da mit unterschiedlichen Massenstromverhältnissen die Übertragungskennzahlen beliebig positiv oder negativ beeinflusst werden können, sind die normativen Festlegungen der WRG nach EN 13053 immer auf ein ausgeglichenes Massenstromverhältnis 1:1 definiert. Bei unterschiedlichen Massenstromverhältnissen zwischen Abluft und Zuluft müssen die geforderten tatsächlichen Übertragungsgrade Φ tats. aus den normativen Anforderungen Φ t1 umgerechnet werden, wenn die Angaben vom Hersteller nicht direkt genannt werden. Dabei muss der be­nötigte NTU-Wert bezogen auf die Zuluft aus dem geforderten Übertragungsgrad Φ t1 bei


ermittelt werden:


Dieser muss nun auf die geänderten Massenströme umgerechnet werden, wobei der Zuluftmassenstrom und damit Wˆ 2 als konstant definiert wird, da der Übertragungsgrad der WRG per Definition ebenfalls auf die Zuluft bezogen ist. Der dann einzuhaltende Übertragungsgrad errechnet sich im reinem Gegenstrom der Medien unter der Bedingung eines konstanten k⋅A aus [5]:


mit:


Da tatsächlich der Wärmedurchgangskoeffizient (k) bei unterschiedlichen Massenströmen nicht konstant ist, kann deshalb vereinfacht die Umrechnung der Übertragungsgrade auch durch die empirische Formel nach Kaup [6]:


im Bereich von 0,67≤μ≤1,25 und Φ t1 ≤0,8 erfolgen.

Wirtschaftlichkeitsberechnung

Die Jahresenergiebetrachtungen können auch auf die weiteren Kennzahlen der WRG übertragen werden. Letztlich muss eine Wirtschaftlichkeitsberechnung auf Jahrestemperatur- und Jahresfeuchteverlaufswerten die entscheidenden Kennwerte liefern, die zur Beurteilung der Wirtschaftlichkeit der WRG herangezogen werden müssen.

Hier bietet es sich an, z.B. auf Basis der in DIN 4710 [7] vorliegenden meteorologischen Temperatur- und Feuchteverteilung für den betreffenden Aufstellungsort der WRG die Jahresenergieberechnungen durchzuführen. In DIN 4710 sind die Stundenverteilungen für mehrere deutsche Städte für 24 h dargestellt. Diese Tabellen sind auch für den Tagesbetrieb (6.00 bis 18.00 Uhr) hinterlegt.

In Abhängigkeit der Außentemperatur in °C und der absoluten Feuchtewerte in g/kg können die Häufigkeitswerte des Auftretens der Luftzustände je Stunde entnommen werden. Nun müssen in einem Jahresgang-Berechnungsverfahren für jeden Außenluftzustand die Zustände der WRG und der Sollwerte berechnet werden. Im Winterfall sind damit die Leistungen für die WRG und den ­benötigten Vorerhitzer (Bild 1) zu berechnen:


und:


mit:

ϑ WS Sollwert der Zuluft [°C]

E Nacherwärmerleistung [kW]

Die einzelnen thermischen Leistungen werden dann mit der Häufigkeit ihres Auftretens multipliziert:


und:


wobei:

t (x,y) Zeit der Häufigkeit aus der DIN 4710 für den benötigten Ort mit x für die Temperatur von –19 bis 37 °C und y für die absolute Feuchte von 0 bis 19 g/kg.

Die gesamten Arbeiten des Jahres ergeben sich durch die Summe der Einzelwerte:


und:


Unter vereinfachten Bedingungen ist auch die Berechnung ohne den Einfluss der Feuchte möglich. Hier können dann nur die Werte der Temperaturverteilung herangezogen werden, die ebenfalls in DIN 4710 hinterlegt sind. Dabei verringert sich allerdings die Genauigkeit der Berechnung. Das gleiche Verfahren wird auch im Sommer analog angewendet (Bild 2). Daneben müssen auch die energetischen Aufwendungen der Hilfsenergien ermittelt werden:


Die gesamten elektrischen Arbeiten des Jahres ergeben sich ebenfalls durch die Summe der Einzelwerte:


Jahresenergiebetrachtung

Genauso wie die einzelnen Kennzahlen auf Leistungen bezogen werden, können nach der Berechnung der Jahresenergien Kennzahlen aus den Gesamtarbeiten ermittelt werden. Dies hat den Vorteil, dass es sich bei den Kennzahlen um mittlere oder durchschnittliche Kennzahlen der WRG handelt, die eine bessere Möglichkeit der Beurteilung ergeben als leistungsbezogene Kennzahlen, deren Größenordnung in Abhängigkeit von Temperatur, Feuchte und Volumenstrom sehr stark schwankt.

Jahresarbeitszahl:


Energetischer Jahreswirkungsgrad:


mit unterschiedlicher Wertung:


damit:


Wirtschaftlichkeitskennzahlen

Neben den energetischen Betrachtungen müssen die Energieströme auch unter einem finanziellen Gesichtspunkt bewertet werden, da letztendlich die Amortisation der WRG (ab wann die WRG „bezahlt“ ist) und der Kapitalwert der Ersparnisse (wie viel mit der WRG unter Berücksichtigung von Zinseffekten in der Nutzungsphase „verdient“ werden kann) den Ausschlag für die Investition in die WRG geben.

Und dies unter der Berücksichtigung sämtlicher Mehr- und Minderinvestitionen, die sich insbesondere durch die mehrfachfunktionale Nutzung der WRG ergeben, indem z.B. die Kälteerzeugung oder auch die Wärmeerzeugung kleiner dimensioniert werden und weitere Investitionen, z.B. für ein Rückkühlwerk, entfallen können.

Hierbei werden neben den Erträgen der WRG auch die Aufwendungen für die gesamte Nutzungszeit (n) der Anlagen auf den jeweils aktuellen Zeitpunkt abgezinst. Dazu wird das betriebswirtschaftliche Kapitalwert-Verfahren angewandt. Der Barwertfaktor mit Bezug zum Nutzungszeitraum gibt den Wert künftiger Erträge und Aufwendungen an, abgezinst auf den heutigen Zeitpunkt, und errechnet sich aus [8]:


Mit der Berücksichtigung der Preissteigerung ermittelt sich der Barwertfaktor aus:


wobei:

i Zinssatz [%]

j Preissteigerungsrate [%]

n Nutzungsdauer [a]

Die jährliche Einsparung (E) der WRG bemisst sich aus der Differenz zwischen dem Nutzen und den Aufwendungen:


wobei:

E WRG energetischer Nutzen der WRG im Sommer und Winter [Euro]

E el elektrische Aufwendungen (Hilfsenergie) [Euro]

E U Unterhaltungskosten der WRG (z.B. Wartung, Wasser etc.) [Euro]

E K Kapitalkosten der WRG [Euro]

Der Kapitalwert der Ersparnisse K kalkuliert sich dann aus:


wobei:

E jährliche Einsparung [Euro]

b Barwertfaktor innerhalb der Nutzungsphase

I Kapitaleinsatz durch die Investition [Euro]

Der Kapitaleinsatz für die Investition muss ­unter der Berücksichtigung aller Rahmenbe­dingungen ermittelt werden. Hierbei sind neben der Investition für das WRG-System auch die ­eingesparten Investitionen zu berücksichtigen, die sich z.B. durch eine kleinere Heizungsanlage oder Kälteerzeugung ergeben. Insofern ist es wichtig, dass der Einsatz der WRG im gesamten Kontext der Planung gesehen wird.

Der positive Kapitalwert gibt dann an, welchen Ertrag die WRG innerhalb ihrer Nutzungszeit, ab­gezinst auf den Zeitpunkt der Betrachtung, erwirtschaftet hat. Ist der Kapitalwert negativ, handelt es sich um einen Verlust. Ab welchem Zeitpunkt die WRG sich bezahlt gemacht hat, ergibt sich aus dem Schnittpunkt der beiden Kurven Aufwand und Ertrag, die ebenfalls unter Berücksichtigung von Zinseffekten für jedes Jahr der Nutzung berechnet werden können. Die Amortisation ermittelt sich ­damit aus [8]:


Berechnungsprogramm und Beispiel

Im Folgenden wird eine neutrale Software zur Wirtschaftlichkeitsberechnung nach den beschriebenen Verfahren dargestellt. Bild 3 zeigt den Eingabebildschirm des Programms. Anhand weniger charakteristischer Daten kann die Berechnung erfolgen. Neben den WRG-Daten (Investition, Übertragungsgrad und Druckverluste), den Sollwerten im Heiz- und Kühlbetrieb und den spezifischen Energiekosten werden das Lastprofil der WRG und deren Standort eingegeben. Hierbei wird zwischen dem Tag- und dem Nachtbetrieb unterschieden. Aus diesem Lastprofil errechnen sich die Laufzeiten der WRG.

Auch die Minderung der Wärme- und Kälte­erzeugung kann definiert werden. Auf der ersten Ergebnisseite (Bild 4) wird die Funktion der WRG in Abhängigkeit der Außenlufttemperatur dar­gestellt, die sich aus dem Temperaturüber­tragungsgrad ergibt. Der Temperaturübertragungsgrad muss hierbei für jede Temperatur berechnet werden. Der Einfluss der Leistungsregelung (LR) oder aber des Vereisungsschutzes (VE), aber auch der integrierten Einspeisung von Zusatz­energien und deren Beeinflussung des Über­tragungsgrads wie Nacherwärmung (NE) oder Nachkälte (NK) und Befeuchtung (BF) werden ­hierbei berücksichtigt.

Bild 4 listet neben den charakteristischen Temperaturen alle weiteren erforderlichen Informationen über den Betriebszustand der WRG. In Bild 5 werden neben dem aktuellen Temperaturübertragungsgrad auch der thermische Deckungsgrad der WRG, die Leistungsziffer und der Wirkungsgrad mit einem Bewertungsfaktor von 1 angegeben. Es ist deutlich zu erkennen, dass die thermischen Leistungswerte sehr stark von der Außenlufttemperatur abhängen, die elektrischen Leistungen jedoch nicht.

In Bild 6 werden tabellarisch die einzelnen thermischen Arbeiten dargestellt, die sich aus der Multiplikation der Leistungen mit ihrer Häufigkeit ergeben. Des Weiteren wird zugleich der Wasserverbrauch der indirekten Verdunstungskühlung ermittelt, da der Wasserverbrauch ebenfalls in der Wirtschaftlichkeitsbetrachtung (Unterhaltungskosten) berücksichtigt werden muss.

In Bild 7 sind die Ergebnisse der Wirtschaftlichkeitsbetrachtungen übersichtlich zusammengestellt. Die Wirtschaftlichkeitsberechnung wurde unter der Berücksichtigung der Minderinvesti­tionen der Wärme- (im Beispiel 74 kW) und ­Kälteerzeugung (im Beispiel 38 kW) berechnet. Neben den Rahmenbedingungen wird der Kapi­talwert der Ersparnisse, in diesem Fall nach 15 Jahren Nutzungsdauer, kalkuliert und die ­Amortisation als Schnittpunkt der beiden Linien (abgezinste Einnahmen und Ausgaben) dar­gestellt.

Aufgrund der Minderinvestitionen auf der Primärenergieerzeugungsseite liegen die Gesamt­investitionen trotz der WRG in etwa auf dem ­gleichen Niveau, das sich auch ohne WRG ergeben hätte. Die Amortisation beträgt in diesem Fall nur wenige Monate (weniger als 1 Jahr). Die Einnahmen nach 15 Jahren liegen bei rund 195000 Euro. Diesen Einnahmen stehen Ausgaben von ca. 61000 Euro entgegen. Der Kapitalwert der Ersparnisse liegt damit bei etwa 134000 Euro. Dies entspricht der 3,5-fachen Summe der Investition für die WRG. Ebenfalls sind die Kennzahlen auf Basis des Jahresenergie­vergleiches aufgeführt.

Fazit

WRG-Systeme können nach verschiedenen Kennzahlen bewertet werden. Es ist deshalb wichtig, dass im Vorfeld eine eindeutige Kennzahl ­zwischen den Marktteilnehmern vereinbart wird, die zur Beurteilung der WRG herangezogen werden kann. Etabliert ist der Temperaturänderungsgrad oder der Enthalpieänderungsgrad der WRG. Da insbesondere der Temperaturänderungsgrad nahezu unabhängig von dem Temperaturpotenzial zwischen Außen- und Fortluft ist, kann dieser ­Gütegrad leicht und unmissverständlich vereinbart werden.

Wichtig ist weiterhin, die Hilfsenergien zu berücksichtigen, die ebenfalls nahezu temperaturunabhängig sind. Dies geschieht sinnvollerweise durch die Angabe der maximalen Differenzdrücke der WRG. Neu ist nun die Definition des energetischen Wirkungsgrads nach der geplanten Änderung der EN 13053, der sich aus der thermischen Rückwärmzahl und der Leistungsziffer der WRG ergibt. Mit dieser Kennzahl können nun energetisch sinnvoll die thermische Güte und die Qualität der Hilfsenergien in einer Kennzahl (Referenzwert) zusammengefasst werden. Diese Änderung soll als Amendment im Laufe des Jahres als Entwurf verabschiedet werden.

Alle Angaben sollten im Auslegungspunkt oder unter ausgeglichenen Bedingungen (Massenstromverhältnis 1:1) definiert werden. Auch dies ist im Vorfeld eindeutig zu vereinbaren. Die Umrechnung der Temperaturänderungsgrade kann gemäß dem oben beschriebenen Verfahren durchgeführt werden. Die Leistungsziffer allein ist informativ und ergänzend sinnvoll. Sie ist nur unter sonst vergleichbaren Rahmenbedingungen aussagekräftig (siehe Bild 5) und ermöglicht nur dann Vergleiche unterschiedlicher Systeme und Hersteller.

Letztendlich ist eine energetische Jahres­betrachtung auf Basis der beschriebenen Ver­fahren sinnvoll. Die hierauf fußenden Kennzahlen sind einfacher vergleichbar, da die Rahmen­bedingungen definiert sind. Die Berücksichtigung eines Faktors zur Bewertung der Primärenergie kann auf der Basis von Jahresbetrachtungen ­sinnvoll sein, da hiermit Durchschnittswerte ge­bildet werden können. Auf der Basis von Referenzkennwerten macht dieser Faktor keinen Sinn, da der mit Leistungswerten berechnete Wirkungsgrad sich mit dem jeweiligen Außenluftzustand deutlich ändert.

Die Genauigkeit des beschriebenen Verfahrens zur Wirtschaftlichkeitsberechnung kann als völlig ausreichend bewertet werden, da mit ­jeder ­Wirtschaftlichkeitsberechnung Prognosen für die Zukunft getroffen werden, deren Eintreffen sowieso mit entsprechenden Unsicherheiten ­behaftet sind.

Am Ende entscheiden damit die Amortisation und der Kapitalwert der Ersparnisse darüber, ob eine WRG wirtschaftlich ist oder nicht. Die Wirtschaftlichkeit der WRG basiert im Wesentlichen auf dem Übertragungsgrad und den Druckverlusten der WRG, die gemäß DIN EN 308 messtechnisch ermittelt werden können. Und die Wirtschaftlichkeit sowie Umweltaspekte sind letztlich die einzigen wirklichen Kaufargumente für eine Wärmerückgewinnung.

1) Number of Transfer Units,


Literatur

[1] DIN EN 13053 Lüftung von Gebäuden – Zentrale raumlufttechnische Geräte – Leistungskenndaten für Geräte, Kom­ponenten und Baueinheiten. Berlin: Beuth Verlag, November 2007

[2] VDI 3803 Raumlufttechnik – Bauliche und technische An­forderungen an zentrale Raumlufttechnische Anlagen (VDI-Lüftungsregeln). Berlin: Beuth Verlag, Juni 2008

[3] Beck: Die Feuchteübertagung von Rotoren. Heizung Klima 8-2002

[4] DIN EN 308 Wärmeaustauscher – Prüfverfahren zur Bestimmung der Leistungskriterien von Luft/Luft- und Luft/Abgas-Wärmerückgewinnungsanlagen. Berline: Beuth Verlag, Juni 1997

[5] VDI-Wärmeatlas, 9. Auflage 2002, CA Tabelle 4

[6] Amendment zur EN 13053

[7] DIN 4710 Statistiken meteorologischer Daten zur Berechnung des Energiebedarfs von heiz- und raumlufttechnischen Anlagen in Deutschland. Berlin: Beuth Verlag, Januar 2003

[8] Mensch, Gerhard: Investition: Investitionsrechnung in der Planung und Beurteilung von Investitionen. Oldenbourg Wissenschaftsverlag, 2002

[9] Jüttemann: Wärme- und Kälterückgewinnung in raumlufttechnischen Anlagen. Werner Verlag, 2001

Christoph Kaup

Dr.-Ing., ist Geschäftsführender Gesellschafter der Howatherm Klimatechnik GmbH ( https://www.howatherm.de/de/home/ ), Brücken, Vorstands­mitglied und Obmann für Technik des Herstellerverbands Raumlufttechnische Geräte e.V. ­Mitglied in verschiedenen Normungsgremien, z.B. EN 13779, EN 13053 und EN 1886 und Richtlinienausschüssen, z. B. VDI 6022, VDI 3803 und VDI 2071 sowie Lehrbeauftragter am Umweltcampus Birkenfeld, FH Trier für Energieeffizienz und Wärmerückgewinnung.

Jetzt weiterlesen und profitieren.

+ TGA+E-ePaper-Ausgabe – jeden Monat neu
+ Kostenfreien Zugang zu unserem Online-Archiv
+ Fokus TGA: Sonderhefte (PDF)
+ Webinare und Veranstaltungen mit Rabatten
uvm.

Premium Mitgliedschaft

2 Monate kostenlos testen